首页
>
基础知识(暖通空调+动力)
> 题目详情
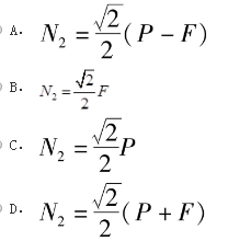
<p>均质圆柱体重P,直径为D,置于两光滑的斜面上。设有图示方向力F作用,当圆柱不移动时,接触面2处的约束力大小为( )。
分类: 基础知识(暖通空调+动力)
发布时间: 2023-11-03 01:18
浏览量: 1
均质圆柱体重P,直径为D,置于两光滑的斜面上。设有图示方向力F作用,当圆柱不移动时,接触面2处的约束力大小为( )。
A.A
B.B
C.C
D.D
正确答案是A
← 返回分类
返回首页 →
相关题目
<img alt="" src="https://learnfile.20230611.cn/learnAppQuestion/
<img alt="" src="https://learnfile.20230611.cn/learnAppQuestion/
<img alt="" src="https://learnfile.20230611.cn/learnAppQuestion/
<p>设α、β均为非零向量,则下面结论正确的是( )。 <img alt="" src="https://learnfi
<p>微分方程y-y=0满足y(0)=2的特解是( )。 <img alt="" src="https://learnf
↑