<img alt="" src="https://learnfile.20230611.cn/learnAppQuestion/

分类: 专业基础知识(暖通空调+动力) 发布时间: 2023-11-03 01:19 浏览量: 0

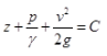
(常数)——表示(  )。

A.不可压缩理想流体稳定流动的伯努利方程

B.可压缩理想流体稳定流动的伯努利方程

C.不可压缩理想流体不稳定流动的伯努利方程

D.不可压缩黏性流体稳定流动的伯努利方程

正确答案是A