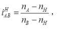
<p>行星轮系的转化轮系传动比 <img alt="" src="https://learnfile.20230611.cn/

分类: 专业基础知识(暖通空调+动力) 发布时间: 2023-11-03 01:19 浏览量: 0

行星轮系的转化轮系传动比 若为负值,则以下结论正确的是(  )。

A.构件A与构件B转向一定相同

B.构件A与构件B转向一定相反

C.构件A与构件B转向不一定相反

D.构件A与构件H转向一定相反

正确答案是C