首页
>
专业案例(暖通空调专业)
> 题目详情
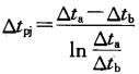
计算换热器面积时,加热与被加热流体间的对数平均温差为()。
分类: 专业案例(暖通空调专业)
发布时间: 2023-11-03 01:21
浏览量: 2
计算换热器面积时,加热与被加热流体间的对数平均温差为()。
A.
B.
C.
D.
正确答案是A
← 返回分类
返回首页 →
相关题目
一溴化锂吸收式制冷系统,发生器热负荷为1748.84kW,制冷量为1162.97kW。制冷剂水进、出冷凝器和进、出蒸发器的比焓分
3个除尘器分别具有60%,70%和80%的全效率,当将它们串联使用时,效率为()除尘器应放在前级,串联后总效率为()。
<img src="https://learnfile.20230611.cn/learnAppQuestion/ca/87/c
某办公楼采用多联机空调方案,一个多联机空调系统,其室外机设置在屋顶,室内外机的高差为40m,单程配管长度为90m,末端房间空调冷
<img src="https://learnfile.20230611.cn/learnAppQuestion/18/74/1
↑