首页
>
基础知识(给排水)
> 题目详情
<img alt="" src="https://learnfile.20230611.cn/learnAppQuestion/
分类: 基础知识(给排水)
发布时间: 2023-11-03 01:24
浏览量: 0
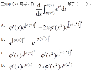
A.A
B.B
C.C
D.D
正确答案是A
← 返回分类
返回首页 →
相关题目
<p>设向量α与向量β的夹角θ=π/3,模|α|=1,|β|=2,则模|α+β|等于( ) <img alt="" sr
<img alt="" src="https://learnfile.20230611.cn/learnAppQuestion/
<p>当机械波在媒质中传播,一媒质质元的最大形变量发生在( )。 <img alt="" src="https://le
<img alt="" src="https://learnfile.20230611.cn/learnAppQuestion/
<img alt="" src="https://learnfile.20230611.cn/learnAppQuestion/
↑