首页
>
经济应用数学(二)(04224)
> 题目详情
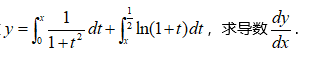
设函数
分类: 经济应用数学(二)(04224)
发布时间: 2024-11-06 06:01
浏览量: 0
设函数
【正确答案】:
← 返回分类
返回首页 →
相关题目
计算下列极限:
A.1B.-1C.不存在
函数f(x)在点x0有定义是极限存在的________条件.
求常数a的值,使函数处连续.
已知函数处连续,求常数a的值.
↑