首页
>
工程热力学及内燃机原理(04162)
> 题目详情
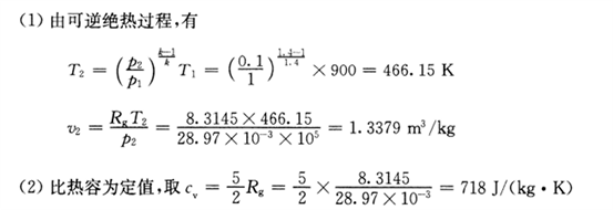
3kg空气从p1=1MPa、T1=900K绝热膨胀到p2=0.1MPa设比热容为定值,绝热指数k=1.4,求:(1)终态参数T2
分类: 工程热力学及内燃机原理(04162)
发布时间: 2024-11-06 03:39
浏览量: 0
3kg空气从p
1
=1MPa、T
1
=900K绝热膨胀到p
2
=0.1MPa设比热容为定值,绝热指数k=1.4,求:(1)终态参数T
2
和V
2
;(2)过程功和技术功;(3)△U和△H
【正确答案】:
← 返回分类
返回首页 →
相关题目
自由排气损失
排气提前角
残余废气系数
强制排气损失
排气迟闭角
↑