首页
>
工程热力学及内燃机原理(04162)
> 题目详情
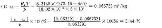
试用下述方法求压力为5MPa,温度为450℃的水蒸气的比体积。(1)理想气体状态方程;(2)压缩因子图。已知此状态时水蒸气的比体
分类: 工程热力学及内燃机原理(04162)
发布时间: 2024-11-06 03:40
浏览量: 0
试用下述方法求压力为5MPa,温度为450℃的水蒸气的比体积。(1)理想气体状态方程;(2)压缩因子图。已知此状态时水蒸气的比体积是0.063291m
3
/kg,以此比较上述计算结果的误差。
【正确答案】:
← 返回分类
返回首页 →
相关题目
自由排气损失
排气提前角
残余废气系数
强制排气损失
排气迟闭角
↑