首页
>
工程热力学及内燃机原理(04162)
> 题目详情
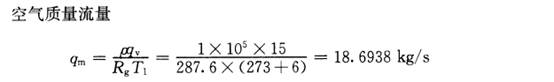
湿空气体积流率qv=15m3/s、t1=6℃、φ=60%,总压力p=0.1MPa,进入加热装置,(1)温度加热到t2=30℃,求
分类: 工程热力学及内燃机原理(04162)
发布时间: 2024-11-06 03:43
浏览量: 0
湿空气体积流率q
v
=15m
3
/s、t
1
=6℃、φ=60%,总压力p=0.1MPa,进入加热装置,(1)温度加热到t
2
=30℃,求φ
2
和加热量Q;(2)再经绝热喷湿装置,使其相对温度提高到φ
3
=40%,喷水温度t
w,i
=22℃,求喷水量(喷水带入的焓值忽略不计,按等焓过程计算)
【正确答案】:
← 返回分类
返回首页 →
相关题目
自由排气损失
排气提前角
残余废气系数
强制排气损失
排气迟闭角
↑