首页
>
工程热力学及内燃机原理(04162)
> 题目详情
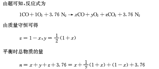
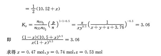
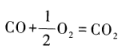
已知反应在3000K的平衡常数Kp=3.06。求1 molCO和1mol空气中的O2反应在3000K和5标准大气压平衡时混合物的
分类: 工程热力学及内燃机原理(04162)
发布时间: 2024-11-06 03:43
浏览量: 0
已知反应
在3000K的平衡常数K
p
=3.06。求1 molCO和1mol空气中的O
2
反应在3000K和5标准大气压平衡时混合物的组成。
【正确答案】:
← 返回分类
返回首页 →
相关题目
自由排气损失
排气提前角
残余废气系数
强制排气损失
排气迟闭角
↑