首页
>
中级经济师-经济基础知识
> 题目详情
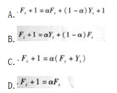
<p>如果以Y表示第t期实际观测值,F表示第t期指数平滑预测值。a表示平滑系数,则指数平滑预测值的计算公式是() <img
分类: 中级经济师-经济基础知识
发布时间: 2023-11-03 01:46
浏览量: 0
如果以Y表示第t期实际观测值,F表示第t期指数平滑预测值。a表示平滑系数,则指数平滑预测值的计算公式是()
A.A
B.B
C.C
D.D
正确答案是B
← 返回分类
返回首页 →
相关题目
调查活动的最终成果是()
青年时期把收入的很大一部分用于消费而储蓄很小,中年时期收入大于消费,进入老年时期,基本没有收入,消费大于收入。描述此现象的消费理
我国统计部门计算和公布的反映就业和失业水平方面的指标是()。
我国在2003—2017年实行的金融监管体制是()
下列是长期总供给曲线特点的是()
↑