首页
>
高级会计实务
> 题目详情
<p>某企业根据过去的利润总额进行利润预测,过去5年的利润总额如表。 <img alt="" src="https://lea
分类: 高级会计实务
发布时间: 2023-11-03 02:44
浏览量: 0
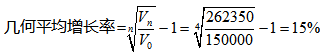
某企业根据过去的利润总额进行利润预测,过去5年的利润总额如表。
要求:根据几何平均增长率预测第6年的利润。
第6年利润=262350×(1+15%)=301702.5(元)
← 返回分类
返回首页 →
相关题目
A国有大型企业集团公司(以下简称A公司)为加强内部控制制度建设,聘请某会计师事务所在年报审计时对公司所属B、C、D、E4个全资子
A国有大型企业集团公司(以下简称A公司)为加强内部控制制度建设,聘请某会计师事务所在年报审计时对公司所属B、C、D、E4个全资子
淮海化工厂系国有工业企业,经批准从2004年1月1日开始执行《企业会计制度》。为了保证新制度的贯彻实施,该厂根据《企业会计制度》
淮海化工厂系国有工业企业,经批准从2004年1月1日开始执行《企业会计制度》。为了保证新制度的贯彻实施,该厂根据《企业会计制度》
甲公司系2001年12月在深圳证券交易所挂牌的上市公司,主要从事彩色电视机的生产和销售。xyz会计师事务所接受委托对该公司200
↑