首页
>
(初级) 统计基础理论及相关知识
> 题目详情
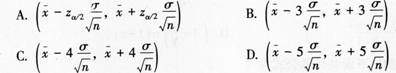
<p>已知总体服从正态分布,且总体标准差σ,从总体中抽取样本容量为n的产品,测得其样本均值为x,在置信水平为1-a=95%下,总
分类: (初级) 统计基础理论及相关知识
发布时间: 2023-11-03 02:59
浏览量: 0
已知总体服从正态分布,且总体标准差σ,从总体中抽取样本容量为n的产品,测得其样本均值为x,在置信水平为1-a=95%下,总体均值的置信区间为( )
A.A
B.B
C.C
D.D
正确答案是A
← 返回分类
返回首页 →
相关题目
《关于工资总额组成的规定》在性质属于( )
茄子的基期价格是1元/斤,数量是5斤,报告期价格是2元/斤,数量是15斤;白菜的基期价格是2元/斤,数量是10斤,报告期价格是3
依照《行政处罚法》的规定,统计部门对给予( )处罚的案件应当依照当事人的申请组织听证
涉外调查许可证的有效期为( ),涉外调查机构需要延续涉外调查许可证的有效期的,应当在有效期满30日前向原颁证机关提出申请
研究如何利用样本数据来推断总体特征的统计学方法是( )
↑