首页
>
(中级) 统计工作实务
> 题目详情
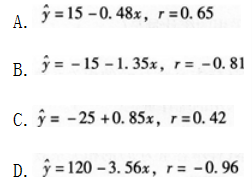
<p>下列回归方程中肯定错误的是( )。 <img alt="" src="https://learnfile.2023
分类: (中级) 统计工作实务
发布时间: 2023-11-03 03:01
浏览量: 0
下列回归方程中肯定错误的是( )。
A.A
B.B
C.C
D.D
正确答案是A
← 返回分类
返回首页 →
相关题目
工业企业科技活动的统计范围只限于( )。
统计工作中紧密衔接的两个环节是统计调查和( )。
我国居民消费价格统计采用的是( )方法。
农民专业合作经济组织是( )性质的经济组织。
下列各项指标中,不属于社会统计范畴的是( )。
↑