王女士32岁。与丈夫分居两年,目前带着8岁的女儿与父母一起生活。 王女士父亲今年60岁,刚退休;母亲56岁,还在工作。 根据

分类: (初级)社会工作实务 发布时间: 2023-11-03 05:02 浏览量: 0

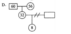
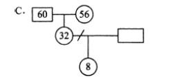
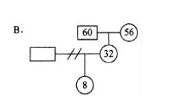
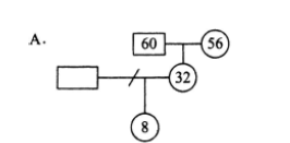
王女士32岁。与丈夫分居两年,目前带着8岁的女儿与父母一起生活。 王女士父亲今年60岁,刚退休;母亲56岁,还在工作。 根据上述家庭资料,社会工作者绘制的家庭结构图中,正确的是()

A.

B.

C.

D.

正确答案是A