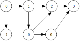
<p>对于下面的有向图,其邻接矩阵是一个(1)的矩阵,采用邻接链表存储时,顶点0的表结点个数为2,顶点3的表结点个数为0,顶点1

分类: (初级)程序员 发布时间: 2023-11-03 05:14 浏览量: 1

对于下面的有向图,其邻接矩阵是一个(1)的矩阵,采用邻接链表存储时,顶点0的表结点个数为2,顶点3的表结点个数为0,顶点1的表结点个数为(2)。 (1)

A.3*4

B.4*3

C.6*6

D.7*7

正确答案是D