首页
>
(初级)程序员
> 题目详情
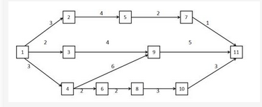
<p>下图是某项目的剪线图(时间单位:周),其关键路径是(),工期是(请作答此空)周。 <img alt="" src="ht
分类: (初级)程序员
发布时间: 2023-11-03 05:14
浏览量: 2
下图是某项目的剪线图(时间单位:周),其关键路径是(),工期是(请作答此空)周。
A.14
B.12
C.11
D.13
正确答案是A
← 返回分类
返回首页 →
相关题目
<p>阅读说明和流程图,填补流程图中的空缺(1)?(5),将答案填入答题纸对应栏内。【说明】本流程图用于计算菲波那契数列{a1=
<p>阅读以下问题说明、C程序和函数,将解答填入答题纸的对应栏内。 【问题1】 分析下面的C程序,指出错误代码(或运行异常代
阅读以下Java代码,填充(1)~(5)的空缺,将解答填入答题纸的对应栏内。【说明】进行两个整数之间的比较,由考生通过输入窗口分
阅读以下说明和C函数,填充(1)~(5)的空缺,将解答填入答题纸的对应栏内。【说明】编写程序,对于从键盘输入的3个实数a、b、c
阅读下列说明和C代码,回答问题1至问题3,将解答写在答题纸的对应栏内。 【说明】 模式匹配是指给定主串t和子串s,在主串t中
↑