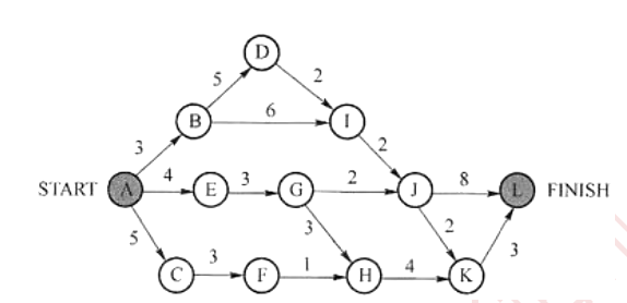
<p>下图是一个软件项目的活动图,其中顶点表示项目里程碑,连接顶点的边表示活动,边的权重表示活动的持续时间。则里程碑(19)在关

分类: (中级) 软件设计师 发布时间: 2023-11-03 05:16 浏览量: 0

下图是一个软件项目的活动图,其中顶点表示项目里程碑,连接顶点的边表示活动,边的权重表示活动的持续时间。则里程碑(19)在关键路径上。活动GH的松弛时间是(20)。

A.K 0

B.C 1

C.E 2

D.B 3

正确答案是D