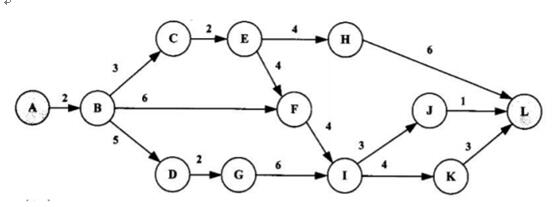
<p>某软件项目的活动图如下图所示,其中顶点表示项目里程碑,连接顶点的边表示包含的活动,边上的数字表示活动的持续天数,则完成该项

分类: (中级) 软件设计师 发布时间: 2023-11-03 05:16 浏览量: 0

某软件项目的活动图如下图所示,其中顶点表示项目里程碑,连接顶点的边表示包含的活动,边上的数字表示活动的持续天数,则完成该项目的最少时间为()天。活动EH和IJ的松弛时间分别为(请作答此空)天。

A.3 和 3

B.3 和 6

C.5 和 3

D.5 和 6

正确答案是C