首页
>
(中级) 软件评测师
> 题目详情
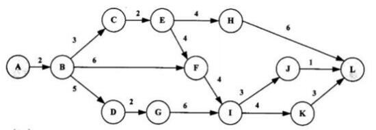
<p>下图是一个软件项目的活动图,其中顶点表示项目里程碑,连接顶点的边表示包含的活动,则完成该项目的最少时间为()天。活动E-&
分类: (中级) 软件评测师
发布时间: 2023-11-03 05:18
浏览量: 2
下图是一个软件项目的活动图,其中顶点表示项目里程碑,连接顶点的边表示包含的活动,则完成该项目的最少时间为()天。活动E->H的松弛时间为(请作答此空)天。
A.3
B.4
C.5
D.6
正确答案是C
← 返回分类
返回首页 →
相关题目
若某计算机采用8位整数补码表示数据,则运算______将产生溢出。
在输入输出控制方法中,采用______可以使得设备与主存间的数据块传送无需CPU干预。
若内存容量为4G B,字长为32,则______。
设用2K×4位的存储器芯片组成16K×8位的存储器(地址单元为0000H~3FFF H,每个芯片的地址空间连续),则地址单元0
设有学生实体Students(学号,姓名,性别,年龄,家庭住址,家庭成员,关系,联系电话),其中“家庭住址”记录了邮编、省、市、
↑