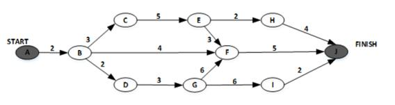
<p>某软件项目的活动图如下图所示,其中顶点表示项目里程碑,连接顶点的边表示包含的活动,边上的数字表示活动的持续时间(天)。活动

分类: (中级) 软件评测师 发布时间: 2023-11-03 05:18 浏览量: 0

某软件项目的活动图如下图所示,其中顶点表示项目里程碑,连接顶点的边表示包含的活动,边上的数字表示活动的持续时间(天)。活动EH最多可以晚开始(请作答此空)天而不影响项目的进度。由于某种原因,现在需要同一个工作人员完成BC和B D,则完成该项目的最少时间为()天。

B.1

C.2

D.3

正确答案是C