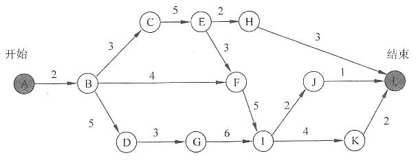
<p>下图是一个软件项目的活动图,其中顶点表示项目里程碑,连接顶点的边表示包含的活动,则完成该项目的最少时间为__1____天。

分类: (中级) 软件评测师 发布时间: 2023-11-03 05:18 浏览量: 0

下图是一个软件项目的活动图,其中顶点表示项目里程碑,连接顶点的边表示包含的活动,则完成该项目的最少时间为__1____天。活动BD最多可以晚开始__2____天而不会影响整个项目的进度。 2、_____

A.2

B.3

C.5

D.9

正确答案是A