<p>小张等同学在大学生创新活动中承担一个小型电子商务系统的项目开发,在老师的指导下,按模块化的设计方法进行开发,为保证开发质量

分类: (中级) 电子商务设计师 发布时间: 2023-11-03 05:19 浏览量: 3

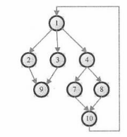
小张等同学在大学生创新活动中承担一个小型电子商务系统的项目开发,在老师的指导下,按模块化的设计方法进行开发,为保证开发质量,专门安排了同学负责测试工作。6、在一个模块完成后,进行测试应该从______、______、______、______、______五个方面入手。7、在进行功能测试和性能测试时,完成了数据库测试、连接速度测试、负载测试、表单测试等。其中:属于功能测试的是______、______;属于性能测试的是______、______。8、某程序的控制流图如图所示。共有4条独立路径,其中路径1:1→2→9路径2:______路径3:______路径4:______ 9、系统测试是针对系统中各个组成部分进行的综合性检验。______用于测试软件与先前发布过的版本的兼容情况:______检查系统对非法侵入的防范能力;______检查系统正常运行的能力和用户接受的程度。备选答案:A.恢复测试B.配置测试C.安全性测试D.文档测试E.强度测试F.可用性测试

6、(1)模块接口 (2)局部数据结构 (3)边界条件(4)执行路径 (5)错误处理 7、(1)数据库测试 (2)表单测试(3)连接速度测试 (4)负载测试 8、(1)1→3→9(2)1→4→7→10→1→2→9或1→4→7→10→1→3→9(3)1→4→8→10→1→2→9或1→4→8→10→1→3→9 9、(1)B (2)C (3)F 本题考查电子商务系统测试的工作流程以及测试所涉及到的方法和步骤。模块测试也称为单元测试,是通过对每个最小的软件模块进行测试,对源代码的每一个程序单元实行测试,检查各个程序模块是否正确地实现了规定的功能,确保其能正常工作。单元测试主要针对程序模块进行测试,主要有5个任务:模块接口、局部数据结构、边界条件、执行路径和错误处理。电子商务系统的测试可以分为功能测试和性能测试两大方面。功能测试指测试软件各个功能模块是否正确,逻辑是否正确。对于电子商务系统而言,功能测试主要是确保系统与用户之间的交互功能可以正确执行。性能测试是通过自动化的测试工具模拟多种正常、峰值以及异常负载条件来对系统的各项性能指标进行测试。本题中,数据库测试和表单测试主要测试电子商务系统能否满足要求的功能,属于功能测试。连接速度测试、负载测试主要测试系统的性能指标,属于性能测试。基本路径测试法是在程序控制流图的基础上,通过分析控制构造的环路复杂性,导出基本可执行路径的集合,从而设计测试用例的方法。它是白盒测试的重要方法。独立路径是指程序中至少引入了一个新的处理语句集合或一个新条件的程序通路,即独立路径必须至少包含一条在本次定义路径之前不曾用过的边。系统测试将软件与整个系统的硬件、外设、支持软件、数据和人员等结合起来,以需求规格说明为依据,在实际运行环境下进行测试。其中:恢复测试主要检查系统的容错能力。当系统出错时,能否在指定时间间隔内修正错误并重新启动系统。恢复测试首先要采用各种办法强迫系统失败,然后验证系统是否能尽快恢复。压力测试又称为强度测试,是在强负载(加大数据量、大量并发用户等)下的测试,用于查看应用系统在峰值使用情况下的操作行为。目的是发现系统的功能隐患、系统是否具有良好的容错能力和可恢复能力。安全性测试是测试系统在应付非授权的内部/外部访问、非法侵入或故意的损坏时的系统防护能力,检验系统有能力使可能存在的内/外部的伤害或损害的风险限制在可接受的水平内。兼容性/配置测试用于测试软件与先前发布过的版本、有依赖关系的外部软件、运行的系统的各种版本和硬件平台的不同配置的兼容情况。文档测试是指对软件开发、测试和维护过程中产生的所有文档的测试,包括对需求规格分析说明书、详细设计报告、系统设计报告、用户手册以及与系统相关的一切文档的审阅和评测。可用性是指系统正常运行的能力和用户接受的程度,一般用如下公式表示。可用性=平均正常工作时间/(平均正常工作时间+平均修复时间)文档测试是指对软件开发、测试和维护过程中产生的所有文档的测试,包括对需求规格分析说明书、详细设计报告、系统设计报告、用户手册以及与系统相关的一切文档的审阅和评测。