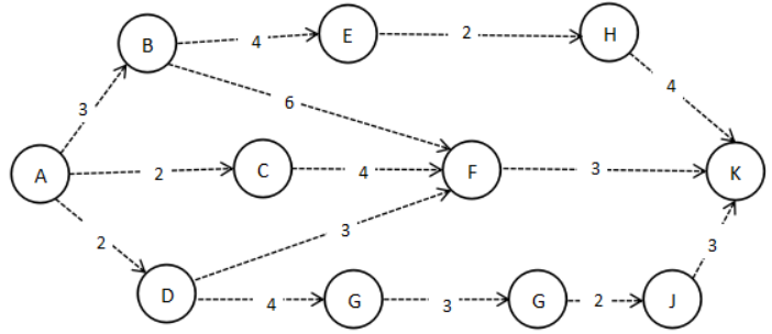
<p>下面为某项目规划的进度网络图(单位:周),在实际实施过程中,活动B-E计划延迟了2周,活动J-K比计划提前了3周,则该项目

分类: (中级) 系统集成项目管理工程师 发布时间: 2023-11-03 05:21 浏览量: 0

下面为某项目规划的进度网络图(单位:周),在实际实施过程中,活动B-E计划延迟了2周,活动J-K比计划提前了3周,则该项目的关键路径(),总工期()周。

A.15

B.14

C.13

D.12

正确答案是A