首页
>
(高级)系统架构设计师
> 题目详情
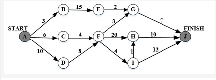
<p>某软件项目的活动图如下所示。图中顶点表示项目里程碑,连接顶点的边表示包含的活动,则里程碑(请作答此空 )在关键路径上,活动
分类: (高级)系统架构设计师
发布时间: 2023-11-03 05:22
浏览量: 1
某软件项目的活动图如下所示。图中顶点表示项目里程碑,连接顶点的边表示包含的活动,则里程碑(请作答此空 )在关键路径上,活动FG的松弛时间为( )。
A.
A.B
B.C
C.D
D.I
正确答案是C
← 返回分类
返回首页 →
相关题目
<p>阅读以下关于软件架构评估的说明,回答下列问题。 【说明】某软件公司拟为某市级公安机关开发一套特种车辆管理与监控系统,
<p>阅读下列说明,回答问题 1 至问题 3,将解答填入答题纸的对应栏内。【说明】某 ETC( Electronic Toll
<p>请详细阅读有关软件架构评估方面的说明,回答下列问题。 【说明】 某校园软件提供商拟升级目前正在使用的教务管理系统,以提高
<p>阅读以下关于嵌入式软件体系架构的叙述,在答题纸上回答问题1至问题3。 某公司承担了一项宇航嵌入式设备的研制任务。本项目除
阅读以下关于Web 应用系统负载均衡的问题,在答题纸上回答问题1至问题3。 某电子商务公司的主要业务是书籍、服装、家电和日用品
↑