<p>进程P1、P2、P3、P4、P5和P6的前趋图如下所示: <img alt="" src="https://learnf

分类: (高级)系统分析师 发布时间: 2023-11-03 05:24 浏览量: 0

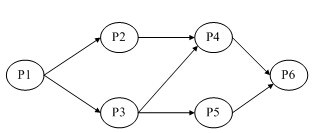
进程P1、P2、P3、P4、P5和P6的前趋图如下所示: 若用PV操作控制这6个进程的同步与互斥的程序如下,空d和空e处应分别为(47)。

A.V(S3)V(S4)和V(S6)

B.P(S3)P(S4)和V(S6)

C.P(S3)V(S4)和V(S6)

D.P(S3)V(S4)和P(S6)

正确答案是B