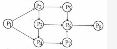
<p>前趋图是一个有效无环图,记为-={pi,pj,pi完成时间先于pj开始时间}。假设系统中进P={p1,p2,p3,p4,p

分类: (高级)系统分析师 发布时间: 2023-11-03 05:24 浏览量: 0

前趋图是一个有效无环图,记为-={pi,pj,pi完成时间先于pj开始时间}。假设系统中进P={p1,p2,p3,p4,p5,p6,p7,p8},且进程的前趋图如下。那么该前驱图可记为()图中(请作答此空)

A.存在着十个前驱关系。p1为初始节点。p2p4为终止节点。

B.存在着两个前驱关系。p6为初始节点,p2p4为终止节点。

C.存在着九个前驱关系。p6为初始节点,p8为终止节点。

D.存在着十个前驱关系。p6为初始节点,p8为终止节点。

正确答案是D