首页
>
职业能力测验
> 题目详情
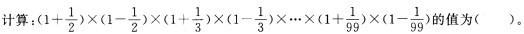
<img alt="" src="https://learnfile.20230611.cn/learnAppQuestion/
分类: 职业能力测验
发布时间: 2023-11-03 06:07
浏览量: 0
A.A
B.B
C.C
D.D
正确答案是D
← 返回分类
返回首页 →
相关题目
3,5,10,25,75,(),875。
<img alt="" src="https://learnfile.20230611.cn/learnAppQuestion/
银行一年定期存款利率是4.7%,二年期利率是5.1%,且利息税扣除20%,某人将1000元按照先存一年再存两年的方式存入银行,三
一个三位自然数,要使它除以16时得到的余数最大,则它的最大值是()
一果农想将一块平整的正方形土地分割为四块小的正方形土地,并将果树均匀整齐地种植在土地的所有边界上,且在每块土地的四个角上都种上一
↑