<p>某投资者购买了一幢写字楼用于出租经营,购楼投资的60%来自银行提供的期限10年、年利率10%、按年等额还本付息的抵押贷款。

分类: 开发经营与管理 发布时间: 2023-11-03 06:17 浏览量: 0

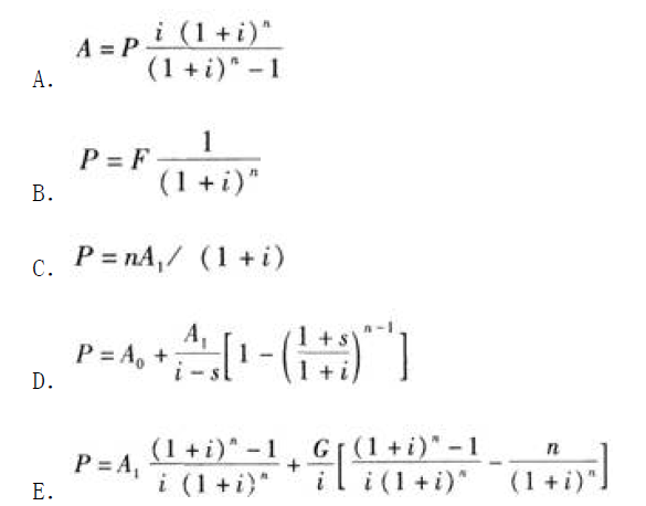
某投资者购买了一幢写字楼用于出租经营,购楼投资的60%来自银行提供的期限10年、年利率10%、按年等额还本付息的抵押贷款。假设写字楼的出租率一直稳定在85%,且净租金收入每年以6%的速度上涨(收入发生在期初),计划第10年末转售,投资者的期望收益率为10%。该写字楼资本金现金流量现值的计算所涉及的公式包括(  )。

A.A

B.B

C.C

D.D

E.E

正确答案是ABD