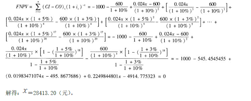
甲公司承租了一栋建筑面积为10000㎡的旧商业大楼,承租期为20年,前3年租金保持不变,每年为600元/㎡,以后每年递增3%。该公司用1年时间,将该商业大楼装修改造成共有400个摊位的专业市场,装修改造费用共1000万元。装修改造完成后,公司计划将摊位出租,按年收取租金,前2年租金保持不变,以后每年递增5%。如果专业市场的运营费用为摊位年租金的40%,甲公司目标收益率为10%,装修改造费用在第1年年初一次性投入,其他收支均发生在年末(不考虑空置损失),请计算该公司达到目标收益率时,前2年平均每个摊位的最低年租金。
(1)前三年每年承租旧商业大楼的租金为 600×10000=600(万元),设甲公司前2 年平均每个摊位的最低年租金为?元,则甲公司前 2 年的最低年净收益=400×(1-40%)x/10000=0.024 (万元)。
(2)甲公司达到目标收益率且满足最低年租金情况下,甲公司的财务净现值为 0。
