某投资者以10000元/m2的价格购买了一栋建筑面积为27000m2的写字楼用于出租经营,该投资者在购买该写字楼的过程中,又支付了相当于购买价格4%的契税、0.5%的手续费、0.5%的律师费用和0.3%的其他费用。其中,相当于楼价30%的购买投资和各种税费均由投资者的资本金(股本金)支付,相当于楼价70%的购买投资来自期限为15年、固定利率为7.5%、按年等额还款的商业抵押贷款。假设在该写字楼的出租经营期内,其月租金水平始终保持160元/m2,前三年的出租率分别为65%、75%和85%,从第4年开始出租率达到95%且在此后的出租经营期内始终保持该出租率。出租经营期间的运营成本为毛租金收入的28%。如果购买投资发生在第1年的年初,每年的净经营收入和抵押贷款还本付息支出均发生在年末,整个出租经营期为48年,投资者全投资和资本金的目标收益率为分别为10%和14%。试计算该投资项目全部投资和资本金的财务净现值和财务内部收益率,并判断该项目的可行性。
【解】
(1)写字楼购买总价:27000m2X10000元/m2=27000万元
(2)写字楼购买过程中的税费:
27000万元X(4%+0.5%+0.3%)=1296万元
(3)投资者投入的资本金:27000万元X30%+1296万元=9396万元
(4)抵押贷款金额:27000万元X70%=18900万元
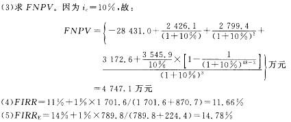
(5)抵押贷款年还本付息额:
A=PXi/[1-(1+i)-n]=18900万元X7.5%/[1—(1+7.5%)-15]
=2141.13万元
(6)项目投资现金流量表(表3—75)

因为FNPVE=789.8万元>0,FIRRE=14.78%>14%,故该项目从资本金投资的角度看也可行。
(10)讨论:在计算资本金盈利能力指标时,由于没有计算抵押贷款还本付息中还本所带来的收益,因此资本金内部收益率指标与全投资情况下差异不大,说明此处计算的收益只体现了现金回报而不是全部回报。如果考虑还本收益,则资本金的财务净现值将增加到7307.7万元,财务内部收益率增加到21.94%。
改错如下:
(1)写字楼购买过程中的税费:
27000万元X(4%+0.5%+0.5%+0.3%)=1431万元
(2)投资者投入的资本金:(27 000X30%+!431)万元=9531万元
