封面(略)
目录(略)
致委托人函
XX有限公司:
受贵公司委托,我们对贵公司拥有的位于XX市XX街XX号1层(房屋所有权证号:xX字第XX号,建筑面积为339.29mz)商业用房的抵押价值进行评估,为贵公司向金融机构申请抵押贷款确定房地产抵押贷款额度提供价值参考依据。
我公司派注册房地产估价师到估价对象所在地进行实地查勘和市场调査,估价人员在结合有关资料的基础上,遵循估价原则,按照估价程序,运用科学的估价方法,分析了影响房地产价格的各项因素,经过测算并结合估价人员经验,确定估价对象于估价时点2009年4月21曰满足本报告估价“假设和限制条件”下的抵押价值(表3—20)。
XX房地产估价有限公司(盖章)
法人代表:xxx
二零零九年五月二十二日
注册房地产估价师声明(略)
估价的假设和限制条件(略)
房地产估价结果报告
一、估价委托人(略)
二、估价机构(略)
三、估价对象
(一)实物状况
估价对象所处房地产是一幢集商铺、酒楼、茶楼、客房、办公用房为一体的综合性大楼,该建筑于2007年建成并投人使用,为钢筋混凝土结构,共5层,其中1~2层为商铺和酒楼,3层为茶楼,4~5层为客房及办公用房。
大楼外墙粉色墙砖,1~3层为大面积玻璃窗,4~5层为玻璃幕墙;内部设备有中央空调、自动喷淋系统、1部电梯、2部消防楼梯。
估价对象位于大楼的第一层,建筑面积为339.29m2,层高为5.4m。目前出租用作酒楼,餐区及操作间地面铺地砖,墙面刷乳胶漆。
经估价人员实地查勘,估价对象房屋主体结构完好,基础设施完备,维护保养较好,处于正常使用状态。
(二)权益状况
估价对象为XX有限公司拥有的位于XX市XX街XX号1层的商业用房。
估价委托人提供的《房屋所有权证》记载内容为,房屋所有权证号:XX字第XX号;房屋所有权人:XX有限公司,’房屋坐落:(略);产别:私产;幢号:XX;房号:XX;结构:框架;房屋总层数:5层;所在层数:1层;建筑面积:339.29m2;设计用途:商业;登记日期:2007年6月
6曰。
估价委托人提供的整栋商业楼《国有土地使用证》记载内容为:土地证号:第XX号;土地使用者:XX有限公司;坐落:(略);地号:(略);地类(用途):商业用地;使用权类型:出让;使用权面积:3065.30m2;终止日期:2046年4月20日;登记日期:2006年4月21日。
至估价时点估价对象土地使用权剩余年限为37年。依据估价对象委托人提供的资料及估价人员实地查勘情况,至估价时点,估价对象已出租用作酒楼,除此以外无其他项权利限制。
四、区位状况(略)
五、估价目的
为确定房地产抵押贷款额度提供参考依据而评估房地产抵押价值。
六、估价时点
2009年4月21日。
七、价值定义
本报告所称抵押价值是指估价对象假定未设立法定优先受偿款权下的价值,减去房地产估价师知悉的法定优先受偿后的价值。
八、估价依据(略)
九、估价原则(略)
十、估价方法(略)
十一、估价结果
经过综合分析,确定估价对象的抵押价值为总价人民币491.26万元,单价14478.96元/m2。
十二、估价对象变现能力分析(略)
十三、估价人员(略)
十四、估价作业日期
2009年4月21日至2009年5月22日。
十五、估价报告应用的有效期(略)
XX房地产估价有限公司2009年5月22日
附件(略)
房地产估价技术报告
一、个别因素分析(略)
二、区域因素分析(略)
三、市场背景分析(略)
四、最高最佳利用分析(略)
五、估价方法选用(略)
六、估价测算过程1.收益法
收益法是基于预期原理,选用适当的报酬率将预期的估价对象房地产未来各年的正常收益折算到估价时点的现值,求其之和得出估价对象房地产价格的一种估价方法。其基本公式为:
式中V——收益价格;
Ai——相对于估价时点而言的未来第i期末的净收益;
Y——房地产的报酬率(折现率)。
(1)确定房地产收益
1)租约期内房地产收益
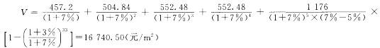
估价对象已出租,租约期至2013年4月20日。根据估价对象租赁合同,从估价时点起算,租约期内房地产年有效毛收人见表3—21。
其中,租金按建筑面积计算,收人均为年末取得。
2)租约期外房地产收益
根据市场行情测算,目前估价对象按建筑面积计算的正常市场租金为70~75元/(m2*月)(计算过程略),且租金水平呈逐年递增趋势,递增比率为每年2%~5%,由此,预测估价对象租约期外第一年的客观毛租金为100元/(m2*月),且按每年3%的比率递增。根据当地市场一般情况,空置率取2%,假设上述收益变化趋势在未来使用年限里相对稳定。
则租约期外第一年的有效毛收入为100X12X(1—2%)=1176元/m2
(2)确定年运营费用
运营费用包括:管理费、维修费、保险费、税金,计算结果见表3—22(计算过程略)。
(3)确定年净收益
计算公式:估价对象年净收益=年有效毛收入一年运营费用则估价对象年净收益见表3—22。
(4)确定报酬率
综合考虑,确定报酬率为7%(计算过程略)。
(5)确定估价对象收益价格估价对象收益价格为:
2.市场法
市场法是估价对象与近期发生交易的类似实例进行对照比较,对已发生交易的类似实例的已知价格加以修正,得出估价对象最可能实现的合理价格的估价方法。其基本公式为:
比准价格=可比实例房地产的价格X交易情况修正系数X交易日期修正系数X区域因素修正系数X个别因素修正系数
(1)可比实例的选取(表3—23)

(2)建立可比价格基础(略)
(3)选取比较因素及因素条件说明
根据《房地产估价规范》及项目特点,本次比较因素选择交易情况、交易日期、区域因素和个别因素。
1)交易情况
交易情况是指交易行为中是否包含特殊因素,是否为正常交易。
2)交易日期
交易日期是指可比实例成交时间,由于房地产市场的波动,不同成交时间的类似房地产,其成交价格存在差异。
3)区域因素和个别因素
估价对象为商业房地产,根据目前房地产市场特点,本次选取的区域因素包括繁华程度、交通条件、城市规划限制和环境等。个别因素包括临街状况、距区域商业中心距离、距公交站点距离、层高、面积、形状、开间、成新率等。
4)估价对象与可比实例比较因素情况表(表3—24)

5)建立可比实例体系
上述修正因素比较为间接修正,现将可比实例的交易情况、交易日期、区域因素、个别因素与估价对象相比较,建立直接比较关系见表3—26。
取上述可比实例比准价格的平均值作为市场法的比准结果,即估价对象比准价格为:
(12461.54+12272.73+11918.00)÷3=12217.42元/m2
3.估价结果确定
综合考虑收益法、市场法的测算结果,结合估价人员经验,决定采用两种方法测算结果的简单算术平均值作为估价对象的房地产市场价值评估结果,即
评估单价=(16740.50+12217.42)÷2=14478.96元/m2评估总价=14478.96X339.29=491.26万元总价大写:人民币肆佰玖拾壹万贰仟陆佰元整
1.致委托方函缺估价报告应用的有效期(或致委托方函缺估价报告使用期限)。 2.估价对象实物状况描述不全或不清;或缺估价对象土地实物状况;或建成时间未具体到月;或缺估价对象四至;或缺估价对象分摊的土地面积。 3.估价对象权益状况描述不全;或缺他项权利限制情况;或缺租赁权情况;或缺是否优先受偿款情况。 4.价值定义中缺未设立法定优先受偿下的市场价值定义。 5.结果报告的估价结果没有大写。 6.缺少风险提示(或说明)。 7.附件应放在技术报告之后。 8.客观毛租金收益[100元/(m2 *月)]确定有误。 9.租约期外租金构成内涵不清。 10.租约期外租金面积内涵不清。 11.租约期外收益变化趋势在未来使用年限相对稳定的假设缺乏依据(或不符合谨慎原则)。 12.租约期外的有效毛收入中未考虑其他收入,如押金收入(或租赁期外有效毛收入中缺押金收益)。 13.租约期外净收益确定有误,未扣除运营费用。 14.空置率取2%的理由不充分。 15.等比递增计算中租约期外的折现期错误(不应为5年,应为4年)。 16.表3—23中的可比实例成交价未说明付款方式。 17.可比实例一与估价对象规模差异过大,不宜适用为可比实例。 18.可比实例与估价对象结构不同未作修正。 19.比较、修正项目不全:或缺少情况的修正;或缺少租赁期的比较和修正;或缺剩余收益年限(土地使用年限)的修正;或缺用途的比较修正;或缺交易日期(市场状况)的修正(或不修正的理由)。 20.距区域商业中心距离和距公交站点的距离应为区域因素。 21.表3—25中修正系数的表述形式错误。 22.表3—25中修正系数的确定缺乏理由或(具体指出)某个因素的取值缺乏理由。 23.表3—25中修正系数的确定未考虑各子因素权重的差异。 24.技术报告结果中未计算抵押价值,或未考虑法定优先受偿款。 25.比准结果取三个可比实例价格的简单算术平均值缺乏理由。 26.估价结果取两种估价方法测算结果的简单算术平均值缺乏理由。