房地产估价报告封面及目录(略)
致委托方函(略)
估价师声明(略)
估价的假设和限制条件(略)
某居住房地产估价结果报告
一、委托方
某房地产公司,法人代表:张某。
二、受托方
某房地产估价有限公司,法人代表:王某。
三、估价对象
1.地理位置及概况(略)
2.估价对象概括
估价对象位于某市某路某号院内,项目用地15075m2,用途为住宅,剩余土地使用年限至评估基准日为40年,估价对象用途为配套公建,剩余土地使用年限为30年。建筑面积为6962.3m2,占地面积为1890.3m2,容积率为4.16,结构为现浇框架一剪力墙结构。
待估房地产目前已经投入使用一年,内、外装修完善。外装修:采用高档进口磨光花岗石,客厅房门为旋转门和双向推拉门,内门为玻璃门,窗为铝合金窗及整体钢化玻璃窗;内装修:墙面为高档进口防雷、耐擦亚光涂料,地面为高级磨光花岗石,顶棚为轻钢龙骨石音板吊顶及铝扣板吊顶,卫生间墙面为全磁化防滑砖,洁具为台湾和成牌洁具,电源配置符合国家规定标准,电话、电视线路入户,留有接口,水、气、电、热等市政设施配套齐全。评估对象地下部分为整体车库,共有168个标准车位;另有一中型游泳池,可容纳200人左右。
四、估价目的
为委托方向银行办理抵押贷款提供房地产价格依据。
五、估价时点
2004年1月。
六、价值定义
采用公开市场价值标准,估价对象于估价时点、配套公建用途、在现状条件下的房屋所有权及所分摊的国有出让土地使用权的公开市场价值。
七、估价依据
1.《房地产估价规范KGB/T50291—1999)。
2.国土资源部《土地估价规程》。
3.某市人民政府《某市出让国有土地使用权基准地价》。
4.某市房地局《土地出让价格评估技术标准(试行)》。
5.某市城市规划管理局《审定设计方案通知书》(XX)规审字XX号。
6.某公司《房屋所有权证》(XX全字第XX号)。
7.某公司《国有土地使用权证》(XX全国用(XX)字第XX号)。
8.委托方提供的其他资料。
9.估价人员实地勘察获取的资料及搜集的市场资料。
八、估价原则
最髙最佳使用原则:要求房地产估价应以估价对象的最高最佳使用为前提进行估价。本报告的最高最佳使用为保持现状的最高最佳使用。替代原则:要求房地产估价结果不得明显偏离类似房地产在同等条件下的正常价格。本报告对该原则的运用体现在利用市场比较法进行估价中,具体表现为:首先,尽量在同一区域调查、选择已经成交的与估价对象房地产相类似房地产的可比实例,并进行修正得出估价对象房地产的评估价格;其次,按照相近效用的房地产的价格互相牵制,在同一位置、同一估价目的、同一时期,具有相同档次和新旧程度的房地产应具有相同价格的原理,确定最终的评估结果。
九、估价方法
根据估价对象的特点,结合国际惯例,评估人员经过分析,确定本报告采用市场比较法和成本法进行估价。基本的估价思路为:先用两种估价方法分别评估出估价对象的比准价格和成本价格;然后对这两个价格进行综合分析,并结合评估人员对市场行情的专业分析,确定最终的评估结果。
市场比较法是同一个市场条件下,根据替代原则,比较条件类似或使用价值相同的房屋买卖案例,将交易案例与估价对象加以对照比较,就两者之间在影响估价对象的交易情况、期日、区域因素及个别因素等的差别进行修正,求取估价对象在估价期日房产价值的方法。
成本法是以开发或建造估价对象或类似物业所需耗费各项必要费用之和为基础,再加上正常的利税来确定估价对象价格或价值的一种估价方法。
十、估价结果
以这两种方法测算结果的算术平均值作为房价结果,总价为7113.0万元(大写:人民币柒仟壹佰壹拾畚万元整)。
十一、估价人员(略)
十二、估价作业日期(略)
十三、估价报告应用的有效期
本报告自完成之日起2年内有效,超过此期限该价格应做相应调整,直至重新评估。
某居住房地产估价技术报告
一、个别因素分析(略)
二、区域因素分析(略)
三、市场背景分析(略)
四、最高最佳使用分析(略)
五、估价方法选用(略)
六、估价测算过程
1.收益法
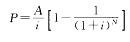
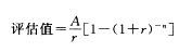
其基本公式为:
式中n——收益年限;
A——估价对象的年纯收益;r——折现率。
(1)年有效毛租金收入的确定
根据估价对象所处位置,评估人员经过对同类物业大量的市场调查得知,在考虑了租金损失和押金收益后,确定估价对象单位建筑面积日租金水平为5元/(m2*d),则:
年有效毛租金收入=5元/(m2*d)X360dX70%=1260元/m2
根据估价人员实地调查,该地区地下车库收益水平在400~600元/(个*月)之间,地下游泳池月收益水平在40万~60万元之间。根据估价人员的分析,在考虑了估价对象周围的实际情况后,确定估价对象地下车库收益水平为500元/(个*月),游泳池月收益水平为50万元,空置率为50%,则:
年有效车位收入=500元/(个*月)X168个X12月=1008000元游泳池年有效收入=50万元/月X12月X50%=300万元地下部分年总收入=400.8万元
(2)运营费用率的确定
根据目前XX市商业设施运营管理费用率的平均水平,估价对象地上部分运营费率为35%,地下部分运营费率取25%。
(3)年净租金的计算
建筑物净租金=年有效毛租金收入一年运营费用=(1260-1260X25%)元/m2=945元/m2
建筑物年净收入=945元/m2X3780.6m2=3572667元=357.27万元地下部分总净收入=(400.8—400.8X35%)万元=260.52万元
(4)资本化率的确定
资本化率实质上是一种投资的收益率,它与风险的大小成正比。风险越大,收益率越高,亦即资本化率越高;反之亦然。在本报告中,评估人员按照安全利率加风险调整值的方法确定资本化率。
资本化率=安全利率+投资风险补偿+管理负担补偿+缺乏流动性补偿一投资带来的优惠=安全利率+风险因素调整值
安全利率:2002年3月中国人民银行确定的一年期定期存款利率为1.98%,2002年凭证式国债五年期,票面年利率为2.74%;2001年凭证式国债五年期,票面年利率为3.14%;2000年凭证式国债五年期,票面年利率为3.14%。
风险调整值:风险调整值视投资风险程度而定,且经调整后还原利率应高于银行的贷款利率及融资成本,根据评估人员的专业评估经验,XX市房地产领域该值为7%左右。
根据上述分析及国家五年期长期债券利率,计算安全利率:
2000年:(1+05=(1+5X3.14%),i2ooo=2.96%
20014p:(l+05=(l+5X3.14%),i2001=2.96%
2002年:(1+05=(1+5X2.74%),i2002=2.60%
确定io=(2.96%+2.96%+2.6%)/3=2.84%,其高于银行的存款利率1.98%。
根据收益型房地产产品类型的特点,具体将该风险分为低、中、高三个区域,即低风险区域的还原利率可取5.84%~7.84%,中风险区域可取7.84%~9.84%,高风险区域可取
9.84%~11.84%。
除考虑风险对资本化利率的影响外,综合考虑资产管理的繁琐性和流动性以及通货膨胀的影响,我们认为该物业属于中低风险领域,故资本化率取8%。
(5)收益价格的计算
估价对象的耐用年限为50年,至估价期日已经使用了7.25年(1998年10月30日~2004年1月12日),收益年限为42.75年。
收益法的计算公式有很多,评估人员认为:XX市的商业用房市场已趋于成熟和稳定,因此按纯收益不变且收益为有限年的公式进行计算,即
2.成本法
(1)采用基准地价修正法求取土地价值
1)XX市基准地价内涵(略)。
2)根据基准地价测算宗地地价的思路及过程如下:
①出让金
依据上述《基准地价表》,六类地价区、配套公建用途,出让金基数为500~1000元/m2。估价对象处于六类地价区中上等位置,条件较好,出让金基数取上述标准的接近高限值即800元/m2。根据容积率修正系数见表3—63。
设定容积率为4.16,容积率修正系数为3.32。
则单位土地面积出让金为:800元/m2X3.32=2656元/m2。
②基础设施配套建设费
估价对象红线外市政基础设施达到“七通一平”。结合估价对象所在区域市政基础设施建设费用情况,并参照XX市现行市政及资源费收费标准,取每建筑面积市政基础设施配套建设
费为650元/m2。小区建设配套费取300元/m2。
则估价对象地面基础设施配套建设费=950元/m2X3.76=3572元/m2。
③土地开发费
估价对象的土地开发是委托另外一公司开发的,根据《委托开发合同书》,估价对象的实际开发费用折算为3000元/m2(包括土地开发费及城镇拆迁费)。
④估价对象地价
根据上述测算结果,求取熟地价。
地面熟地价=土地出让金+基础设施配套建设费+土地开发费
=(2656+3572+3000)元/m2=9228元/m2
⑤楼面地价
楼面地价==地面熟地价+容积率=2454元/m2
(2)建造成本
1)确定建筑物的直接成本
估价对象建筑物为框架结构,内外部中高档装修。按照1998年《XX市建筑工程概算定额》、《材料预算价格》和《机械台班费用定额》以及1998年《XX市建设工程间接费及其他费用定额》进行匡算,并参考近期同类型建筑物的结算价格,综合考虑后确定建筑物的单位直接建造成本。根据估价对象的实际情况,确定其直接成本(包括结构、装修、设备及红线内市政工程)为3200元/m2。
2)计算建筑物的间接成本
根据XX市对建设项目的有关税费政策和估价对象建筑物的具体情况,逐项计算间接成本费率。各种间接成本费率的组成如下:
①管理费8.00%
②专业人士费10.00%
③合计18.00%
间接成本=3200元/m2X18.00%=576元/m2
则:建造成本=(3200+576)元/m2=3776元/m2
3)计算建设期贷款利息
根据估价对象的建筑结构造型及建筑面积,按照《XX建筑安装工程工期定额》计算,确定本项目的开发期为2年,假设资金分期均匀投入,考虑近年来贷款利率的变化,贷款年利率取为5.49%,则:
利息=(2454X5.49%X2+3776X5.49%X1)元/m2=(270+207)元/m2=477元/m2
4)销售税费
房屋销售时应缴纳的各项税费,包括营业税及其附加、广告宣传费、代理费等,取总成本的9%,则:
销售税费=(2454+3776+477)元/m2X9%=604元/m2
5)发展商利润
按照XX市当前的市场状况,根据《XX市房地产管理局出让地价估价技术标准(试行)》
的规定,按照不同的年期,发展商利润取不同的值,该项目投资年限取2年。同时,考虑到估价对象的具体情况,发展商利润率取为25%,则:
发展商利润=总成本X25%=(2454+3776+477+604)元/m2X25%
=1828元/m2
6)成新率
根据估价对象的建成时间及估价人员现场踏勘实测,故确定估价对象建筑物综合成新率为100%。
7)计算成本价格
综上所述,在计算出估价对象的土地取得费用、建造成本、利息、销售税费、发展商利润及成新率后,估价对象房地产在估价时点的成本价格为:
成本单位价格=(土地取得费用+建造成本+利息+销售税费+开发商利润)X成新率
=(2454+3776+477+604+1828)元/m2X100%
=9139元/m2
成本法总价格=9139元/m2X6962.3m2=63628459.7元=6362.8万元
3.估价结果确定
以上分别用收益法和成本法对估价对象进行了评估,得到估价对象的收益价格和成本价格,分别是:
收益价格:7434.5万元成本价格:6362.8万元
且两个结果相差不大,经分析,造成这种差异的主要原因是由于商业用房租赁市场目前处于平稳的增长阶段,收益法测算的结果比较接近实际情况,成本从房地产建造成本角度估算房地产积算价格,与目前市场价格略有差异。因此,评估人员确定将上述两结果进行加权平均,即:估价对象总价=(7434.5X0.7+6362.8X0.3)万元=7113.0万元大写金额:人民币柒仟壹佰壹拾叁万元整。
1)委托人和受托人缺少地址和联系电话。 (2)估价时点应为具体某一天。 (3)房地产权利状况描述不全。 (4)房地产现状描述不全。 (5)估价原则中缺少估价时点原则。 (6)估价结果报告中总地价缺少货币种类。 (7)市场比较法比较因素所取修正指数无说明。 (8)比较案例B位置指数不正确。 (9)比较案例A用途为商住,与估价对象的可比应作说明。 (10)比较案例的结构不同,应该进行修正。 (11)比准价值的权重未作说明。 (12)成本法中土地使用权价格计算有错误。 (13)成本法中各项费用比例无依据。 (14)建安费按项目的实际发生成本计算不恰当。 (15)成本法中计算投资利息不应用单利计算,应用复利。 (16)缺少附件。 (17)估价报告中估价结果缺少货币种类。