<p>房地产估价报告封■面及目录(略) 致委托方函(略) 估价师声明(略) 估价的假设和限制条件(略) 某房地产估价结果

分类: 房地产案例与分析 发布时间: 2023-11-03 06:19 浏览量: 1

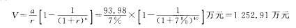
房地产估价报告封■面及目录(略) 致委托方函(略) 估价师声明(略) 估价的假设和限制条件(略) 某房地产估价结果报告 一、委托估价方(略) 二、受理估价方(略) 三、估价对象 某市商业局所属某交易中心。 某交易中心是某市商业局1998年7月16日以出让方式获得土地使用权(使用权年限为40年),并自筹资金开始建设,于2000年7月全部竣工并交付某交易中心使用。 四、估价曰期 2002年6月20日至6月30日。 五、估价目的 为某交易中心整体转让评估市场价值。 六、估价时点2002年7月10日。 七、估价依据(略) 八、估价原则(略) 九、价值定义 本次估价采用公开市场价值标准。 十、采用的估价方法 根据估价对象概况、估价目的、房地产市场状况及对所搜集资料的分析,首先采用收益法对其进行整体估价,然后采用重置成本法再评估其价值。最后,两种方法综合分析,确定估价对象的最终估价值。 十一、估价结果 2002年7月10日估价对象评估值为人民币1244万元(大写:人民币壹仟贰佰肆拾肆万元整)。 十二、估价人员(略) 十三、估价报告应用的有效期(略) 某交易中心房地产估价技术报告 一、实物状况分析 某交易中心为8层钢筋混凝土现浇框架结构,建筑面积6611m2,土地面积1502m2。现以对外出租为经营方式。其中,1~2层建筑面积为2000m2,月租金每1m2使用面积80元。3~4层建筑面积2000m2,月租金每1m2建筑面积60元。5~6层建筑面积2000m2,月租金每1m2建筑面积40元。7层建筑面积410m2,月租金每1m2建筑面积20元,8层建筑面积201m2,月租金每1m2建筑面积10元。1~6层、7层、8层建筑面积与使用面积之比分别是1:0.80、1:0.75,1:0.70。1~6层、7~8层空置及租金损失分别是10%和20%。 二、区位情况分析 某交易中心位于某市某区某大街某号,距火车客运站约1公里,某大街市区道路东与省道相接,西与市区环城道相连,目前有1、2、3、11路环城线公共汽车通过,交通方便,是理想的商业经营之地。 三、市场背景分析(略) 四、最高最佳使用分析(略) 五、估价方法选用 根据估价对象的具体情况和估价目的,本报告采用收益法和成本法分别进行估价。 六、估价测算过程 (一)收益法估价过程 1.年有效毛收入 ①1~2层年总收益:A=2000m2X80元/(月*m2)+0.8X12月X90%=2160000元=216万元。 ②3~4层年总收益:B=2000m2X60元/(月*m2)X12月X90%=1296000元=129.6万元。 ③5~6层年总收益:C=2000m2X40元/(月*m2)X12月X90%=864000元=86.4万元。 ④7层年总收益:D=410m2X20元/(月*m2)X12月X88%=86592元=8.66万元。 ⑤8层年总收益:E=201m2X10元/(月.m2)X0.7月X88%=1238元=0.12万元。 有效毛收入合计A+B+C+D+£=440.78万元。 2.年运营费用 ①土地使用费:每1m2500元,500元/m2X1502m2=751000元=75万元。 ②管理费:按年收益的6%计。 ③维修费:按年收益的5%计。 ④广告、宣传费:按年收益3%计。 ⑤保险费:按年收益的7%计。 ⑥税费:按年收益的12.5%计。 ⑦水电费:按年收益的15%计。 年运营费用合计:[75+(6%+5%+3%+7%+12.5%+15%)X440.78]万元=289万元 3.计算年利润 按当地同类房地产的平均利润率20%计:289万元X20%=57.8万元 4.计算净收益 a=(440.78—289—57.8)万元=93.98万元 5.确定报酬率 根据当地银行年存款利率6.9%,物价上涨率7%,确定报酬率r=7%。 6.计算收益价格 (二)重置成本法估价过程 1.土地费用 购买土地使用权,以X市某房地产开发公司购买市区五星街商业用地(该块土地的土地面积4120m2,出让期40年,出让金3700元/m2)为依据。 购地费用为:3700元/m2X1502m2=5557400元=555.74万元 2.建筑物费用 ①新建与XX交易中心同结构、同规模的建安费用是800元/m2,所以,建安费用为: 6611m2X800元/m2=5288800元=528.88万元 ②建房的其他费用按购地费、建安费用之和的15%计 (555.74+528.88)元/m2X15%=162.69万元 3.重置成本 重置成本是上述1、2之和,即(555.74+528.88+162.69)元/m2=1247.31万元。 4.房地产现值计算 按耐用年限80年,残值率10%,已使用2年,则房地产的现值为 (三)最终结论 (1252.91+1219.2)万元÷2=1236.05万元 七、估价结论 经过评估,某交易中心,在2002年7月10日的客观市场价格为人民币1236万元(大写:人民币壹仟贰佰叁拾陆万元整),折合建筑面积1882元/m2。 八、说明事项(略)

(1)委托估价方和受理估价方应改称委托方和估价方。 (2)总价大写错误。 (3)估价对象描述过于简单,没有关于估价对象四至、装修、设备的说明。 (4)收益法计算1~2层年有效毛收人时,除以0.8是错误的,应乘以0.8。 (5)净收益计算时,不应减去利润。 (6)净收益不是正常纯收益。 (7)报酬率确定不当。因为一年期存款的风险,显然与经营该房地产的风险不相当。 (8)计算收益价格时,n值取40不对,应该是36。 (9)土地费用计算有误。土地费用应该是土地的重置成本,即熟地的总成本,应包括政府 规定的土地(出让金、市政建设配套费、拆迁费等。 (10) 土地费用应进行年限修正。 (11)建筑物费用计算有误。 (12)房地产现值计算有误。应分别计算土地和建筑物的现值。 (13)残值率确定有误。按规定,钢筋混凝土结构残值率应为0。 (14)本题技术报告中第七部分应为估价结果的确定。 (15)缺少附件。