<p>房地产估价报告封面及目录(略) 致委托方函(略) 估价师声明(略) 估价的假设和限制条件(略) 某加油站房地产估价

分类: 房地产案例与分析 发布时间: 2023-11-03 06:19 浏览量: 0

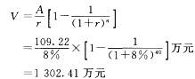
房地产估价报告封面及目录(略) 致委托方函(略) 估价师声明(略) 估价的假设和限制条件(略) 某加油站房地产估价结果报告 一、委托方 某房地产公司 二、估价方 某房地产评估有限公司 三、估价对象 1.地理位置及概况(略) 2.估价对象概括 位于某市某区的某加油站,建成于1997年4月,建筑面积共454.50m2,主要包括加油棚、二层办公楼、一层平房等建筑物,其配套设施有加油机、储油罐等,消防设施齐全。该加油站共有6台计算机加油机,目前经营状况良好。土地剩余使用年限为38年。土地面积4296.32m2。 四、估价目的 为委托方抵押、合资提供价格参考。 五、估价时点 2006年6月5日至2007年6月25日。 六、估价依据(略) 七、估价原则 本估价报告在遵循客观、公正、科学、合理的基本原则下,结合估价目的对估价对象进行估价。具体包括:①合法原则,是指以估价对象的合法权属、合法使用、合法处分等为前提进行估价;②最高最佳使用原则,是指以估价对象的最高最佳使用为原则,认为保持现状继续使用为前提的估价,这种使用是法律上允许、技术上可能、财务上可行的合理论证;③替代原则,是指房地产估价结果不得明显偏离类似房地产在同等条件下的正常价格;④估价时点原则,是指估价结果应是取估价对象在估价时点的客观合理价格或价值。 八、估价方法 根据实地勘察和对邻近地区的调查以及所拥有的材料,本次评估的估价对象宜采用收益还原法评估。 九、估价结果 评估人员根据估价目的,遵循估价原则,按照估价工作程序,运用科学的评价方法,通过现场勘察,在认真分析现有资料的基础上,经过周密的测算,估价对象的市场价格为人民币 1302.41万元(大写:人民币壹仟叁佰贰万肆仟壹佰万元整)。 十、估价人员(略) 某房地产估价技术报告 一、个别因素分析(略) 二、市场背景分析(略) 三、最高最佳使用分析(略) 四、估价方法选用(略) 五、估价测算过程 六、估价过程 具体估价思路为:利用市场比较法提取市场租金,扣除经营费用,得出净收益。采用适当的资本化率对估价对象的未来可使用年限内各年房地产净收益进行资本还原,确定估价对象在估价时点的价值。 1.营业收入 根据该加油站的会计报表,前三年平均营业收入为3400万元(不含增值税)。 2.销售成本 销售成本为加油站商品购入价款(不含增值税),经测算,该销售成本占销售收入的75%,即: 3400万元X75%=2550万元 3.营业费用 营业费用包括工作人员的工资费用、交通运输费、广告费等,经测算,按销售收入的5%计算,即: 3400万元X5%=170万元 4.营业税金及附加 营业税金及附加为城建税及教育费附加,根据有关规定,该企业为一般纳税企业,其城建税及教育费附加按应缴增值税的4%计算,增值税率为17%,即: 营业税金及附加=[3400-2550—170]万元X17%X4%=5.78万元 5.管理费用及财务费用 经测算,加油站管理费用及财务费用约占销售收入的6.5%,则: 管理费用及财务费用=3400万元X6.5%=221万元 6.营业利润 营业利润=(3400—2550—170—5.78—221)万兀=453.22万兀 7.行业利润 上述的营业利润中包括正常的加油站的行业利润,根据对同类加油站经营情况的调查,综合考虑确定行业利润为销售成本的10%,则: 行业利润=3400万元X10%=340万元 8.垄断利润 加油行业是一种垄断性的行业,经分析,经营权垄断利润为销售成本的4%,则: 垄断利润=2550万元X4%=102万元 9.办公楼出租收益 经评估人员现场调查发现周围办公楼用于出租的很多,若将该加油站的办公楼进行出租,每年可获得年租金20万元,出租经营总费用约为7万元,则: 办公楼出租纯收益=(20—7)万元=13万元 10.确定房地产年产生的纯收益 年纯收益=(453.22—255—102+13)万元=109.22万元 11.计算评估收益总值V (r为资本化率,按8%计算) 七、估价结果确定 对估价对象的位置、环境、用途、装修及市场供求等影响其价值的因素进行了综合考虑之后,根据市场调查及估价人员经验,我们采用了收益还原法计算,评估估价对象的估价总值为人民币1302.41万元(大写:壹仟叁佰贰万肆仟壹佰万元整)。 八、估价结论(略) 附件(略)

(1)委托方缺少法人代表、地址、联系电话。 (2)估价方缺少法人代表、地址、联系电话。 (3)缺少估价时点原则。 (4) 土地产权及四至等描述不全。 (5)建筑物结构、实物状况等描述不全。 (6)评估目的不应有两种。 (7)缺少估价报告有效期。 (8)缺少价值定义。 (9)估价时点应该具体到某一天。 (10)应该采用两种估价方法。 (11)缺估价作业日期。 (12)销售收入应为客观收入。 (13)办公楼收益已经包含在总收益中,不应单独计算。 (14)资本化率取值无依据。 (15)在收益法计算总价格中,年期修正系数有错误,应该是38年,而不是40年。 (16)总价大写金额错误。 (17)营业税金及附加的计算式错误。 (18)行业利润的计算有误。 (19)估价结果确定中缺少估价时点。