<p>某办公用地地价评估报告书封面及目录(略) 估价师声明(略) 估价的假设和限制条件(略) 某办公用地估价结果报告 一

分类: 房地产案例与分析 发布时间: 2023-11-03 06:19 浏览量: 0

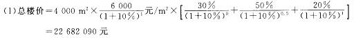
某办公用地地价评估报告书封面及目录(略) 估价师声明(略) 估价的假设和限制条件(略) 某办公用地估价结果报告 一、委托人 XX建筑装饰工程公司(法定代表人XX;住所:XX) 二、估价机构 XX房地产咨询服务公司 三、估价对象 1.估价对象概况:估价对象办公用地坐落在某市某路华信商贸区出口处,南临某公路,距G市5号髙速公路人口处约200m,西临某大学,北面和南面各有某大型停车场和某停车场。该地段是全国各地工业、农贸商品的集散地,周围有较多的大型停车场、商品批发市场和众多的商铺、招待所、各地办事处等设施。估价对象正处于该地段的中心位置,具有较高的开发价值,经估价人员现场勘察确认,估价对象已完成“七通一平”达到开发建设的要求。 2.估价对象规划设计条件: 规划用途:办公; 总占地面积:1000m2; 容积率:4; 覆盖率:50%; 总建筑面积:4000m2; 建筑物层数:8层。 四、估价目的 为委托方以土地合资人股提供依据。 五、估价日期 2004年5月12日至21日。 六、估价时间2004年5月12日。 七、估价人员(略) 八、估价依据(略) 九、价值定义 本次估价采用公开市场价值标准。 十、采用的估价方法 根据估价对象情况、房地产市场状况及对所掌握资料分析,估价对象为待建筑的土地,而建成后的办公楼拟全部售出,故可采用假设开发法进行估价,其计算公式为: 地价=楼价一建筑费一专用费用一利息一销售费用一税费一开发商利润 十一、估价结果 估价对象办公用地在估价时点的市场价值为762万元(大写:人民币柒佰六拾贰万元整)。十二、估价人员(略) 十三、估价报告应用的有效期(略) 某办公用地估价技术报告 一、实物状况分析(略) 二、区位状况分析(略) 三、市场背景分析(略) 四、最高最佳使用分析(略) 五、估价方法选用 根据估价对象具体情况和估价目的,本报告采用市场法、假设开发法进行估价。 六、估价测算过程 1.预计出售楼价 预计30%房屋在建成后即可售出;50%房屋半年后售出;20%房屋一年后售出。根据对市场行情的调查和预测,预计其平均售价为6000元/m2。 2.预计建设期 预计到1998年7月可完全建成投入使用。 3.估计开发费以及开发商利润 估计建筑费为2000元/m2;专业费为建筑费的6%;年利息率为6%,年贴现率为10%,销售费用为楼价的3%;税费为楼价的18%,包括销售过程中的税费、所得税及增值税等;开发商利润为20%。 4.求取地价 (2)总建筑费=4000m2X2000元/m2=8000000元 (3)总销售费用=22682090元X3%=680462.7元 (4)总利息,假定总建筑费在一年建设期中均匀支出,则 总利息=地价X6%+8000000X0.5X6%=0.06X地价+240000 (5)总税费:22682090元X18%=4082776.2元 (6)利润=总建筑费X20%=8000000元X20%=1600000元由以上计算得出: 总地价=22682090—8000000—680462.7-0.06X地价一240000—4082.776.2—1600000总地价=(8078851.1/1.06)元=7621557.6元单位地价=(7621557.6/4000)元/m2=1950.39元/m2 七、估价结果确定 本估价所根据委托方之估价目的,遵守估价原则,按照估价程序,选用科学的评估方法,结合委托方提供的资料,在认真分析现有资料的基础上,经过测算,结合估价师的评估经验,确定某办公用地在估价时点的市场价值为762万元(大写:人民币柒佰六拾贰万元整)。有关说明及附件(略)

(1)缺少致委托方函。 (2)估价时间应为估价时点。 (3)估价方描述过于简单,少法定代表人、住所以及估价方估价资格等级。 (4)估价对象权利状况交代不清。 (5)人民币大写六应为陆。 (6)税费通常包括“两税一费”等,而不包括所得税和增值税。 (7)总楼价计算有误,应为20 913 306元。 (8)总建筑费没有折算到估价时点。 (9)没有计算专业费用。 (10)现金流量折现法不应再计算利息。 (11)现金流量折现法不应再计算利润。 (12)单位地价计算有误。 (13)应采取两种或两种以上的方法估算地价。 (14)报告最后一部分内容应为附件。