<p>某写字楼房地产估价结果报告(略) 某写字楼房地产估价技术报告 一、委托方某房地产开发公司。 二、估价对象 某公司开

分类: 房地产案例与分析 发布时间: 2023-11-03 06:19 浏览量: 0

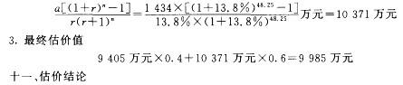
某写字楼房地产估价结果报告(略) 某写字楼房地产估价技术报告 一、委托方某房地产开发公司。 二、估价对象 某公司开发建设的某写字楼全部房地产。 三、估价目的 某公司整体转让某写字楼的客观市场价格。 四、估价时间 2000年10月16~30日。 五、估价时点 2000年12月15日。 六、估价人员(略) 七、估价依据(略) 八、估价对象概况 某写字楼坐落于某市某区某路某号。该用地原为危改小区,1998年9月16日某公司获立项批准,开始拆迁及其他前期工作,同年12月16日有偿获得土地使用权,一次性向政府交纳了地价款,并开工。2000年12月15日将全面竣工。根据批准的规划及施工图,估价对象为带裙房的现浇框架13层波浪形板式中档商务办公楼,具体规划如下: 1.占地面积:3199m2。 2.总建筑面积:14300m2。 3.总容积率4.47,地上容积率3.77。 4.装修及设备(略)。 九、采用估价方法 根据估价对象情况、房地产市场状况及对所掌握资料的分析,估价对象为新建房地产,可用成本估价法,且市场同类写字楼出租多,出售少,故可采用收益法估价,然后确定最终估价值。 十、估价过程 1.采用成本法估价 采用成本法是指以各项现时社会水平的开发建造费用为基础加上正常利润,来确定估价对象房地产的价格。计算如下: (1)向政府交纳取得土地费用:723万元。 (2)拆迁安置补偿费:委托方发生总费用1280万元。 (3)建安工程费(含附属室外工程):2570元/m2X14300m2=36750000元=3675万元。 (4)勘察设计等专业费:3675万元X6.5%=239万元。 (5)管理费及其他费用:3675万元X7.5%=276万元。 (6)借款利息:根据近3年当地固定资产贷款平均年利率12.6%计算利息。取得土地的费用按开发全过程计算利息,其他按建设期均匀投入计算利息。 [723X12.6%+(1280+3675+239+276)X12.6%X2.25/2]万元=866.47万元 (7)开发商利润:取当地房地产投资平均利润率25%。 (723+1280+3675+239+276)万元X25%=6193万元X25%=1548万元 (8)销售费税:按售价计算销售费2%、手续费1%、营业费5.5%。 8668万元十(1—8.5%)X8.5%=805万元 (9)成本估价法估价结果:(8668+805)万元=9473万元。 2.采用收益法估价 (1)估计年总收益 写字楼出租价格为每1m2建筑面积5元/日,餐饮娱乐用地出租价格为每1m2建筑面积7元/日,地下车位月租金800元/m2。写字楼可出租的使用面积与建筑面积比为70%,餐饮娱乐部分为75%,空置及租金损失率写字楼为90%,餐饮娱乐为95%,车位为90%。则: [(5/70%X90%X10780+7/75%X95%X875)X365+800X5X90%X12]元=[(69300+7758.3)X365+43200]元=(28126279.5+43200)元=25581999元=2558万元 (2)年总成本费用及税金 ①营业税及附加:2140万元X5%=107万元 ②成本及经营管理费 水电热气使用费、管理费、维修费、保险费、房产税、土地使用税金计为租金收入的28%,则:2140万元X28%=599万元 (3)估计年净收益 (2140—107—599)万元=1434万元 (4)确定资本化率 据当地调查,银行一年期固定资产贷款年利率12.24%,1995年物价上涨率15%,1995年房地产开发平均投资收益率14.2%,平均13.8%。确定综合投资化率为13.8%。 (5)计算收益价格 经过评估,XX写字楼在2000年12月15日客观市场价格为9985万元(大写:人民币玖仟玖佰捌拾伍万元整),折合每1m2建筑面积6983元。 十二、说明事项(略) 十三、有关附件:(略) 估价人员签字:(略) 审核人员签字:(略) 2000年10月30日

(1)缺少受理估价方。 (2)缺少估价对象的更详细资料。 (3)缺少关于土地使用权年限及起止日期。 (4)在采用成本法估价中,费用项目构成不完整。 (5)报告中的拆迁安置补偿费是委托方实际发生的总费用,未说明是否符合本地现时社会 的一般成本。 (6)成本法计算贷款利息时,不能用单利,应该用复利,计算期也有误。 (7)收益法中计算年总收益均为目前的出租价格,未预测未来是否有变化。 (8)空置及租金损失率为90%、95%、90%,概念有错误。 (9)写字楼部分年总收益计算有误。 (10)车位年收益计算有误。 (11)开发商所负担的税费除营业税外,尚有城市维护建设税、教育费附加和印花税等没有计入。 (12)成本及经营管理费一项中所包括的内容不全。 (13)年净收人没有按客观收益计算。 (14)资本化率18. 8%确定并不恰当,最终估价值将成本法与收益法综合为四六开,未说明理由。