房地产估价报告封面及目录(略)
致委托估价方函(略)
估价师声明(略)
某写字楼房地产估价结果报告
一、委托方(略)
二、受托方(略)
三、估价对象
1.地理位置及概况(略)
2.估价对象概括
某写字楼9层建筑面积为131.7m2,土地总面积为820m2,于估价时点土地剩余使用年限为38.58年,该写字楼框架结构,建成于1999年5月11日,层高3m,装修情况(略)。
四、估价目的
为委托方抵押贷款提供价格参考。
五、估价时点2007年5月11日。
六、价值定义
采用公开市场价值标准,即本报告评估估价对象目前状况下,于估价时点的市场价格。
七、估价依据(略)
八、估价原则
本估价报告在遵循客观、公正、科学、合理的基本原则下,结合估价目的对估价对象进行估价。具体依据如下估价原则:①合法原则是指以估价对象的合法权属、合法使用、合法处分等为前提进行估价;②最高最佳使用原则是指以估价对象的最高最佳使用为原则,认为保持现状继续使用为前提的估价,这种使用是法律上允许,技术上可能、财务上可行的合理论证;③替代原则是指房地产估价结果不得明显偏离类似房地产在同等条件下的正常价格。
九、估价方法
估价人员在认真分析所掌握的资料并进行了实地勘察之后,根据估价对象的特点和实际状况,采用了收益还原法和市场比较法评估。
十、估价结果
经评估测算估价对象单价:8066元/m2;总价:106.23万元(大写:人民币壹佰零陆万贰仟叁佰元整)。
十一、估价人员(略)
十二、估价作业日期(略)
某写字楼估价技术报告
一、个别因素分析(略)
二、市场背景分析(略)
三、最高最佳使用分析(略)
四、估价方法选用(略)
五、估价测算过程
(一)收益还原法
1.年房地总收益
根据估价对象的实际租金为3元/(m2*天)(其中包含维修费、管理费、税金、保险费等),因为租金损失率为10%,则年房地总收益:
3元/(m2*天)X365天/年X(1—10%)=985.5元/(m2.年)
2.年房地总费用
(1)管理费。根据统计资料,商业房屋出租情况及其他相关单位的资料,一般管理费用占年租金收入的5%左右,因此管理费=985.5元/(m2.年)X5%=49.28元/(m2*年)。
(2)维修费。为保障房屋正常使用每年需支付的修缮费,一般按重置价的2%计算。该建筑物为砖混结构的房屋,估价对象房屋重置价每平方米约为1860元,则年维修费用为:
985.575/(m2.年)X2%=19.71元/(m2*年)
(3)保险费。按房屋重置价乘以保险费率2%。计算,则保险费为:
985.5元/(m2*年)X2%0=1.97元/(m2*年)
(4)税费。房屋租赁过程中房产所有人按有关规定向税务机关缴纳的房产税、营业税、各种附加费等,经过调查,商业房屋出租过程中一般只交纳的营业税及附加费约为租金收入的5.5%。因此,
税费=985.5元/(m2*年)X5.5%=54.2元/(m2.年)
(5)房屋折旧费。框架结构房屋的建筑物耐用年限为60年,残值率为0,但考虑到该用地的最高出让使用年期为50年,故建筑物的折旧年期按50年计算,该建筑物重置价约为1860元/m2。年折旧费为:
985.5元/(m2.年)X(1—0)÷50=19.71元/(m2.年)
年房地总费用=管理费+维修费+保险费+税费+折旧费=144.87元/(m2*年)
3.年房地纯收益
年房地纯收益=年房地总收益一年房地总费用=840.63元/(m2*年)
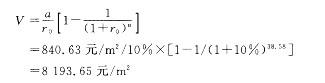
4.房地产价格
房地产资本化率取10%,则房地产总价格为:
(二)市场比较法
1.选取可比实例要求(略)
比较案例如下:
可比实例A:
位于某干路与某支路交汇处,框架结构;距离商业中心约7.5km,周围商业繁华度较好;距离地铁站约1000m,周围有10条公交线路通过,公交便捷度好。成交价格为10200元,朝向南,所在层数13层,成交日期为2004年。
可比实例B:
位于某干路与某支路交汇处,框架结构;距离商业中心约9.5km,周围商业繁华度较好;距离地铁站约3500m,周围有5条公交线路通过,公交便捷度一般。成交价格为8100元,朝向南,所在层数10层,成交日期为2003年。
可比实例C:
位于某路某号,框架结构;距离商业中心约8.5km,周围商业繁华度较好;距离地铁站约
2.5m,周围有5条公交线路通过,公交便捷度好。成交价格为8200元,朝向北,所在层数9层,成交日期为2004年。
2.编制比较因素条件说明表
估价对象与比较实例的比较因素条件详见表3—40。

4.编制比较因素修正系数表
根据比较因素条件指数表,编制比较因素修正系数见表3—42。
表3—42比较因素修正系数表
根据估价对象所在区域的价格水平,确定取三个比准价格的算术平均值作为最终比准价格,则估价对象的单价为8161.52元/m2。
(三)估价结果确定
评估过程中分别采用了收益法和市场比较法,则最终价格单价为8066元/m2。
(四)估价结论(略)
(1)缺少估价的假设和限制条件。 (2)房地产权利状况无依据。 (3) 土地权利状况无依据。 (4)缺少估价时点原则。 (5)估价结果报告总地价缺少货币种类。 (6)估价报告有效期有错误,应从报告完成起一年有效。 (7)缺少区域因素描述。 (8)收益还原法租金采用实际租金错误。 (9)总费用中包含折旧费错误。 (10)资本化率取值无依据。 (11)市场比较法比较因素所取指数无依据。 (12)比较案例A、B两个因素中的距地铁站距离因素修正有错误。 (13)比较案例A距离商服中心距离因素修正系数有错误。 (14)比较案例的交易日期不具体。 (15)估价结果取值无依据。 (16)估价结果报告中缺估价报告的有效期。 (17)收益还原法计算维修费错误。 (18)收益还原法计算保险费错误。 (19)收益还原法计算房屋折旧费错误。 (20)报告缺少附件。