<p>某房地产估价报告致委托方函(略) 估价师声明(略) 估价的假设和限制条件(略) 某房地产估价结果报告 一、委托方

分类: 房地产案例与分析 发布时间: 2023-11-03 06:19 浏览量: 0

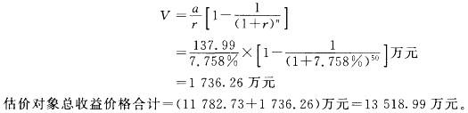
某房地产估价报告致委托方函(略) 估价师声明(略) 估价的假设和限制条件(略) 某房地产估价结果报告 一、委托方 某房地产开发有限公司,地址:某市某路某号,联系电话:XXXX—XXXXXXXX。 二、受托方 某房地产评估公司,地址:某市某路某号,联系电话:XXXX—XXXXXXXX。 三、估价对象 1.地理位置及概况(略) 2.估价对象概括(见估价技术报告) 四、估价目的 为委托方抵押、合资提供价格参考。 五、估价时点 2005年6月7日。 六、估价依据 1.《中华人民共和国城市房地产管理法》。 2.《中华人民共和国土地管理法》。 3.《房地产估价规范》(GB/T50291—1999)。 4.《城市房地产抵押管理办法》。 5.委托单位提供的房权证XX字第XX号房屋所有权证和XX国用(XX)字第XX号“国有土地使用权证”等资料。 6.估价人员现场查勘、搜集、整理的资料。 七、估价原则 本估价报告在遵循客观、公正、科学、合理的基本原则下,结合估价目的对估价对象进行估价。具体依据如下估价原则:①合法原则是指以估价对象的合法权属、合法使用、合法处分等为前提进行估价;②最高最佳使用原则是指以估价对象的最髙最佳使用为原则,认为保持现状继续使用为前提的估价,这种使用是法律上允许、技术上可能、财务上可行的合理论证;③估价时点原则是指估价结果应是取估价对象在估价时点的客观合理价格或价值。 估价方法 根据实地勘察和对邻近地区的调查及所拥有的材料,本次评估的估价对象宜采用收益还原法评估。 九、估价结果 评估人员根据估价目的,遵循估价原则,按照估价工作程序,运用科学的评价方法,通过现场勘察,在认真分析现有资料的基础上,经过周密的测算,车站的评估价格为人民币13647万元(大写:壹亿畚仟陆佰肆拾柒万元整)。 十、估价人员(略) 十一、估价报告应用的有效期 本报告自估价时点起一年内有效,超过此期限该价格应做相应调整,直至重新评估。 某房地产估价技术报告 一、个别因素分析 1.工程概况 某市某车站是以车站、候车厅为主,集停车场、车库、商业用房、办公设施为一体的综合性公共建筑,其占地面积8047.90m2,总建筑面积24031.53m2,建筑高度地上三层(局部四层),屋顶结构相当于绝对标高199.100m,相对标高0.4000m,工程级别为一类建筑,耐火等级为一级,工程抗震烈度按七度设防。 2.工程结构情况(略) 3.估价对象位置(略) 4.估价对象权属状况 委托估价方某公司持有X国用(XX)字第XX号《国有土地使用权证》,X国用(XX)字第XX号《国有土地使用权证》,土地使用权性质为国有出让。 二、市场背景分析(略) 三、最高最佳使用分析(略) 四、估价方法选用(略) 五、估价测算过程 (一)估价思路 1.听取委托单位介绍需要评估对象、评估目的。 2.搜集整理有关资料。 3.进行现场查勘。 4.选择适当的估价技术路线,对估价对象进行试算。 5.征求有关人员的意见。 6.最终确定评估结果。 (二)本次估价采用的方法原理 收益法估价原理:运用适当的资本化率,将预期的估价对象房地产未来各期的正常纯收益折算到估价时点上的现值,求其之和得出估价对象价格。 六、估价测算过程 第一部分:以收益法求取XXXX评估价格 一、车站部分 (一)总收入的确定 车站经营收入共由四部分组成:屋顶停车场的经营收入、车站代售客票收入、底层车库收入、车辆维修、行李寄托等其他业务收入。 现分别求取四部分的总收入: 1.屋顶停车场经营收入 顶层停车场的建筑面积6339.20m2,停车位150个。 根据本市停车场的经营惯例,30%的停车位用于月票车的使用,70%的车位用于每天的经营。月票车的月租金为400元,其余车位按每天收入25元、利用率60%计,则: 屋顶停车场的年总收入=150个X30%X400元/(月.个)X12月+150个X70%X60%父25元/(天*个)×365天=79.09万元' 2.车站代售客票收入 该车站作为本市公路运输始发站之一,发车线路涵盖全市各地以及XX省部分地区。目前共有59条线路,每天发车班次326次。 根据委托方提供的车站经营状况可计算车站的经营收入,平日车站经营收入总计为132019.75元(以每班车35人计)。 随着市政府规范本市客运市场的措施进一步实施,某车站的地位会得到巩固和加强,每日发车班次会逐步上升,预计每日班次达到500班时,总班次上涨53.37%时,会达到一种平衡,使某车站的经营状况达到较高水平。 因此,在计算某车站每日营业额时,以每日班次500次计。 每日营业额=132019.75元X(1+53.37%)=202478.69元 根据本市客运市场的惯例,每年大约有40天的春运,春运的票价上浮20%,上座率可达到100%,每日发车的平均上座率上浮40%,因此,XX车站每年的营业额=202478.69元X325+202478.69元X(1+20%)X(1+40%)X40=79412142.22元。 该车站共有21个发车位,设计发车容量为800个,功能上已达到国家一级车站设计标准。根据某市交通局某交局财〔XX〕XX号文的规定,该车站代收售票收入可按总收入的12%计。 因此,车站代售客票收入为P2=79412142.22元X12%=9529457.07元=952.95万元。 3.底层车库收入 底层车库共有100个车位,未到发车时间的车辆在此等待。由于是车站的配套设施,为车站运营的车辆服务,因此停车费相对较低,每个车位每天收费10元,使用率为70%,则: P3=100个X10元/(天*个)X70%X365天=25.55万元 4.车辆维修、行李寄托、零星摊位、厕所租赁等其他业务收入 根据车站的统计数据,该部分收入占代售客票收入的12%,则: P4=952.95万元X12%=114.35万元 5.合计 P收=P1+P2+P3+P4=1171.94万元 (二)总费用的确定 1.税金(按总收入的5.75%计) P税=1171.94万元X5.75%=67.39万元 2.管理费(按总收入的12%计) P管=1171.94万元X12%=140.63万元 3.维修、保养费(按总收入的2%计) P维=1171.94万元X2%=23.43万元 4.保险费(按总收入的0.2%计) P保=1171.94万元X0.2%=2.34万元 5.不可预见费(按总收入的0.1%计) P预=1171.94万元×0.1%=1.17万元 P费=P税+P管+P维+P保+P预=235.50万元 (三)年纯收入A的确定 A=P收—P费=(1171.94—235.50)万元=936.44万元 (四)资本化率的确定 资本化率以复合投资收益率法确定。据了解XX车站的建设资金中30%来源于银行信贷,70%是自筹资金。银行贷款利率为5.94%,经营车站理想的自有资金收益率为12%,因此,资本化率=5.94%X70%+12%X30%=7.758% (五)求取车站的评估价格将上述数据代入计算公式得 二、商场部分 商场以收益还原法评估价格。 (一)求取年总收益 估价对象的商场部分共有800个摊位,建筑面积3600m2左右。目前有部分摊位是出租使用。某地区是本市商品批发中心,商业繁华程度极高,每日的人流量到达10万次,是理想的经营场所。估价师对估价对象所处地区同类楼宇的租赁价格进行调查后得知:某路两旁的商业用房的平均租赁价格为250元/m2,XX街的商业门面的月平均租赁价格是220元/m2,某水果市场的租赁价格为100元/m2。估价对象目前处于市场培育阶段,市场占有率较低,人气不旺,结合上述调查资料和估价对象的具体情况,估价师认为估价对象的平均租赁价格达到70元/m2时,能达到最佳使用,空置率60%,因此,年总收益=70元/m2×12×60%×3600m2=181.44万元 (二)求取总费用 1.年管理费=181.44万元X4%=7.26万元。 2.年税费=181.44万元X17.75%=32.21万元。 3.维修费=181.44万元X2%=3.62万元。 4.保险费=181.44万元X0.2%=0.36万元。 (三)求取年纯收益 年纯收益为137.99万元。 (四)资本化率的计取 资本化率以复合投资收益率法确定。 据了解XX车站的建设资金中70%来源于银行信贷,30%是自筹资金。银行贷款利率为5.94%,经营商业用房理想的自有资金收益率为10%,因此,资本化率取车站的资本化率,即7.758%。 (五)求取收益价格 第二部分:以成本法求取评估价格 (一)土地取得及开发费:928.29元/m2。 土地取得费:401.92元/m2; 土地开发费:526.37元/m2。 注:该部分费用指楼面地价。 (二)建筑工程前期工程费:234.16元/m2。 前期工程费包括规划管理费、勘察测绘质量监督费、工程质量监督费、城市建设配套费、电力增容费、电贴费、城市消防设施配套费、人防费、白蚁防治费、排污费、水资源费、水表立表费、设计费、前期工程咨询费、不可预见费。 (三)建安工程费:建安工程造价3088.84元/m2。 (四)建设单位管理费:172.98元/m2(包括建设单位开办费和经营费、建设单位临设费、工程监理费、工程保险费)。 (五)利息:262.80元/m2。 土地费用:928.29X[(1+5.94%—1]元/m2=55.14元/m2工程费用:3495.98X[(1+5.94X)1—1]元/m2=207.66元/m2(土地费用以1年计,工程费用按1年计,利率以5.94%计) (六)利润=468.71元/m2(按行业平均利润10%计算)。 [(一)+(二)+(三)+(四)+(五)]X10%=468.71元/m2 (七)估价对象价值: 估价对象评估价格=(一)+(二)+(三)+(四)+(五)+(六)=5155.78元/m2 (八)估价对象的评估价值: 评估价值=5155.78元/m2X24031.53m2=123901281.70元=12390.13万元 七、估价对象的评估价格的确定 在上述测算过程中,以收益法求取的收益价格为13518.99万元,以成本法求取的积算价格为12390.13万元,两种方法求取的估价对象的评估价格比较接近,考虑到以收益法求取的价格更能准确反映估价对象的现状和预期,成本法反映的是过去已经发生的事实。因此,某车站的评估价格为13518.99万元。 八、估价结果确定 由上述测算过程,确定估价对象在估价时点下的价值: 评估值:13518.99万元(大写:人民币壹亿畚仟伍佰壹拾捌万玖仟玖佰元整)。 附件(略)

(1)缺少封面及目录。 (2)委托方、受托方缺少法人代表。 (3)缺少估价日期。 (4) 一次评估只能有一个估价目的。 (5)缺少抵押目的的法律依据。 (6)估价原则不全,缺少替代原则。 (7)估价报告有效期有错误,应从报告完成起一年有效。 (8)估价对象描述不全。 (9)估价对象描述中房屋产权状况缺少描述。 (10)收益法中各种费用计算无依据。 (11)收益法中资本化率计算有错误。 (12)收益法求商场收益时空置率应用有错误。 (13)成本法中各项费用计算无依据。 (14)估价对象最终取值无依据。 (15)估价结果无单价。 (16)估价采用的方法中缺成本法估价的原理。 (17)商场部分的资本化率取值不妥。