<p>房地产估价报告封面及目录(略) 致委托估价方函(略)估价师声明(略) 估价的假设和限制条件(略) XX酒店房地产估价

分类: 房地产案例与分析 发布时间: 2023-11-03 06:19 浏览量: 0

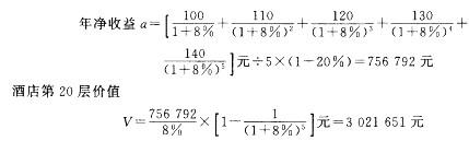
房地产估价报告封面及目录(略) 致委托估价方函(略)估价师声明(略) 估价的假设和限制条件(略) XX酒店房地产估价结果报告 一、委托方 XX酒店有限公司,法定代表人:XXX,住所:XX市XX路XX号。 二、估价方 XX房地产估价事务所,法定代表人:XX,住所:XX市XX路XX号,房地产估价机构资质等级:壹级。 三、估价对象 1.地理位置及概况(略) 2.估价对象概况 估价对象:酒店第1、2、10~13、20层。 建筑面积:11275m2。 土地使用权年限:40年(1988年8月20日起至2028年8月19日止)。 竣工日期:1991年8月。 估价对象用途:酒店客房、餐饮、娱乐。 建筑结构:框架。 土地使用权来源:协议出让。 建筑物装修情况:(略) 四、估价目的 为银行抵押贷款提供依据。 五、估价时点1999年8月20日。 六、估价依据(略) 七、估价原则(略) 八、估价方法 将估价对象分为三部分进行估价,与第1、2层同类的房地产在当地的交易实例较多,故采用市场比较法进行估价,第10~13层为客房,属于收益性房地产,故采用收益法估价,第20层为娱乐用房,亦属于收益性房地产,故也采用收益法估价。 九、估价结果 估价对象的总价值为人民币208521050元(大写:人民币贰亿零捌佰伍拾贰万壹仟零伍拾元 整) 十、估价人员(略) 十一、估价报告应用的有效期(略) XX酒店房地产估价技术报告 一、个别因素分析(略) 二、区域因素分析(略) 三、市场背景分析(略) 四、最高最佳使用分析(略) 五、估价方法选用 将估价对象分为三部分进行估价,与第1、2层同类的房地产在当地的交易实例较多,故采用市场比较法进行估价;第10~13层为客房,属于收益性房地产,故采用收益法估价;第20层为娱乐用房,亦属于收益性房地产,故也采用收益法估价。 六、估价测算过程 (一)酒店第1、2层估价 酒店第1层为酒店大堂,第2层出租给某公司经营酒楼。第1、2层建筑面积均为2830m2。在当地房地产市场上此类房地产的交易实例较多,故采用市场比较法进行估价。可比实例一,国际中心商场1999年8月的市场售价为: 1层45000元/m2,2层30000元/m2。 可比实例二,世贸大厦商场1999年8月的市场售价为: 1层39000元/m2,2层25000元/m2。 可比实例三,世纪广场商场1999年8月的市场售价为: 1层38000元/m2,2层24000元/m2。 确定可比实例修正系数的依据(略)。 修正计算见表3—36。 1层比准价格为: (34091+34392十34142)元/m2+3=34208元/m22层比准价格为: (20979+21645+21563)元/m2+3=21396元/m2第1、2层价值为: (34208+21396)元/m2X2830m2=157359320元 (二)酒店第10~13层估价 式中V——房地产价格;a——年净收益;r——资本化率;n-尚可使用年限。 1.尚可使用年限n的确定 该酒店建筑物耐用年限为50年,已使用8年,故尚可使用年限为42年,即n=42。 2.年净收益a的确定 酒店第10~13层共有客房104间。根据该公司提供的1996~1998年的经营情况分析表及财务报表,平均每间客房日租金为人民币400元,一年365天,则 年总收入=104间X400元/(天*间)X365天=15184000元 酒店客房收入中税、营业支出、管理费、维修费、保险费等总支出占45%。 年净收益a=15184000元X(1—45%)=8351200元 3.资本化率r的确定 以安全利率加风险调整值作为资本化率,安全利率选用一年期贷款年利率,再考虑风险调整值,选定r=8%。 酒店第10~13层价值为: (四)估价对象的总价值 (157359320+100270342+3021651)元=260651313元 (五)应扣折旧额的确定 经实地考察,该酒店的成新率为八成,因此估价对象的现值为: 260651313元X80%=208521050元 七、估价结果确定 估价对象的总价值为人民币208521050元(大写:人民币贰亿零捌佰伍拾贰万壹仟零伍拾元整)。

(1)缺少房地产权属状况描述。 (2)缺少价值定义。 (3)酒店大堂采用市场比较法不当。 (4) 二层酒楼,用市场比较法时选用商场作可比实例不当。 (5)酒店第一、二层市场比较法交易情况修正系数形式错误。 (6)第二层估价交易案例一综合修正超过30%。 (7)第二层为收益性物业,应选用收益法为其中一种方法。 (8)第10~13层尚可使用年限《应为土地使用权剩余年限,即为29年。 (9)第10~13层估价时未采用客观的、未来的收益水平。 (10)对酒店大堂的估价有重复计算。 (11)第10~13层估价求收益时未考虑人住率。 (12)确定资本化率时安全利率选用不当。 (13)第20层估价时年净收益求取方法错误。 (14)第20层估价时未考虑5年以后的收益。 (15)总价不应再扣除折旧。 (16)缺少估价作业日期。 (17)缺少确定估价结果的理由。 (18)第20层的资本化率应与第10~13层有所不同。 (19)应说明未来市场变化风险和短期强制处分等因素对抵押价值的影响。 (20)结果报告与技术报告中的建筑面积不吻合。