房地产估价报告封面及目录(略)
致委托方函(略)
估价师声明(略)
估价的假设和限制条件(略)
XX商业城部分商铺估价结果报告
一、委托方
XX有限公司(法定代表人、住所略)。
二、估价方
xx房地产估价事务所(法定代表人、住所略)。
三、估价对象
估价对象为XX商业城第三层的部分铺位,gp3001~3009号商铺,总建筑面积为
547.15m2。
XX商业城位于XX区XX路,建筑结构为框架结构,共6层,外墙为绿色玻璃幕墙、部分铝板贴面。该物业所处的宗地地势平坦且形状规则,内部装修档次较高,物业管理及维修保养情况良好。
XX商业城为一综合性百货商场。其中1层经营化妆品及女装,2层、3层经营男女装,4层经营家用电器及床上用品,5层为儿童乐园,6层为办公及娱乐场所。
根据实地查勘及业主介绍,3层铺位(3001~3009号)经营男女装,业主分别与“XX”、“XXX”等品牌商家签订了租赁协议。
四、估价目的
为XX有限公司向银行申请抵押贷款提供价值参考依据而评估估价对象的公开市场值。
五、估价时点2002年6月20日。
六、价值定义(略)
七、估价依据(略)
八、估价原则(略)
九、估价方法
估价人员深人细致地分析了估价对象的特点和实际状况,并研究了委托方提供的资料以及所搜集的相关资料,在实地查勘和调研的基础上认为,估价对象为商业物业,此类物业在XX区房地产市场出售、出租案例较多,故采用市场比较法及收益法进行估价,并将两种方法的估价结果加以综合,确定最终估价值。
市场比较法是将估价对象与在估价时点近期有过交易的类似房地产进行比较,对这些类似房地产的成交价格作适当修正,以此估算估价对象的客观合理价格的一种估价方法。
收益法是预计估价对象未来的正常净收益,选用适当的资本化率将其折现到估价时点后累加,以此估算估价对象的客观合理价格的一种估价方法。
十、估价结果
XX有限公司委托评估的位于XX路XX商业城三层的3001~3009号商铺,建筑面积合计为
547.15m2,该部分房地产在估价时点的公开市场价值为398万港元(大写:港币叁佰玖拾捌万元整),折合人民币426万元(大写:人民币肆佰贰拾陆万元整)(港币:人民币=1:1.07)。
十一、估价人员(略)
十二、估价作业日期(略)
十三、估价报告应用的有效期(略)
估价技术报告
一、个别因素分析
XX商业城位于XX区XX路,建筑结构为框架结构,共6层,外墙为绿色玻璃幕墙、部分铝板贴面。该物业所处的宗地地势平坦且形状规则,内部装修档次较高,物业管理及维修保养情况良好。
二、区域因素分析(略)
三、市场背景分析(略)
四、最高最佳使用分析(略)
五、估价方法选用(略)
六、估价测算过程
(一)运用市场比较法估价
由于同类物业的市场交易案例较多,选择与估价对象状况最为类似的三个可比实例作为参照,经过充分考虑各物业的差异并作出修正后,得出估价对象的价值。具体估价测算过程如下:
1.交易情况修正
可比实例A、B、C均为正常交易的价格,和估价对象情况一致,不进行交易情况修正。
2.交易日期修正
有关统计部门的资料表明,2002年房地产市场价格略有下调,但下调幅度较大的是高档写字楼及住宅。上述三个可比实例均为商业用途,该类物业2002年交易价格比较平稳,且交易日期比较接近,故不进行交易日期修正。
3.个别因素修正
以上选择的三宗可比实例的个别因素与估价对象情况有所差异(详述略),故进行个别因素修正。
4.区域因素修正
可比实例A与估价对象属于同一区域,但微观区位稍有区别,估价对象所处之XX商业城的区域条件略优于可比实例A。
可比实例B与估价对象属于同一区域,但微观区位稍有区别,估价对象所处之XX商业城的区域条件略劣于可比实例B。
可比实例C与估价对象属于同一区域,但微观区位稍有区别,估价对象所处之XX商业城的区域条件略优于可比实例C。
具体见表3—38。

5.求取比准价格
平均比准价格单价=(7282+7197+7402)港元/m2+3=7294港元/m2故采用市场比较法估价XX商业城3层3001~3009号商铺的公开市场价值总额为:
547.15m2X7294港元/m2=3990912港元,取整为399万港元。
(二)运用收益法估价
由于预测未来收益水平比较稳定,市场发展平稳,有限年期使用,故采用下列收益法公式:
资本化率取9%。
(1)估算年租金收入
经调查该区房地产市场相同档次同类物业租金情况如下:
该物业客观租金水平取人民币85元/(m2*月)(m2为建筑面积,该费用不包括水电费和物业管理费),则年收益为:85元/(m2*月)X12月=1020元/m2。
(2)计算年出租费用
维修费:按年收益的3%计算,年维修费=1020元/m2X3%=30.6元/m2房产税:建筑物购建价格X70%X1.2%=65.1元/m2保险费:建筑物投保时的购建价格X2.5%0=19.4元/m2
营业税金等:根据当地有关规定,营业税、城市维护建设税、教育费附加等税费合计取年租金收入的16.576%,为
1020元/m2X16.576%=169.1元/m2则年总费用=(30.6+65.1+19.4+169.1)元/m2=284元/m2
(3)估算年净收益
(1020—284)元/m2=736元/m2
(4)求取收益价格
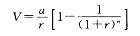
剩余使用年限为34年,则收益价格单价为:
资本化率取9%。
(1)估算年租金收入
经调查该区房地产市场相同档次同类物业租金情况如下:
该物业客观租金水平取人民币85元/(m2*月)(m2为建筑面积,该费用不包括水电费和物业管理费),则年收益为:85元/(m2*月)X12月=1020元/m2。
(2)计算年出租费用
维修费:按年收益的3%计算,年维修费=1020元/m2X3%=30.6元/m2房产税:建筑物购建价格X70%X1.2%=65.1元/m2保险费:建筑物投保时的购建价格X2.5%=19.4元/m2
营业税金等:根据当地有关规定,营业税、城市维护建设税、教育费附加等税费合计取年租金收入的16.576%,为
1020元/m2X16.576%=169.1元/m2则年总费用=(30.6+65.1+19.4+169.1)元/m2=284元/m2
(3)估算年净收益
(1020—284)元/m2=736元/m2
(4)求取收益价格
剩余使用年限为34年,则收益价格单价为:
(港元:人民币=1:1.07)
故采用收益法估价XX商业城第三层3001~3009号商铺的公开市场价值总额为:7235港元/m2X547.15m2=3958465港元,取整为396万港元。
七、估价结果确定
将上述两种方法的估价结果采用算术平均法得出最终估价值:
最终估价值=(399+396)万港元/2=398万港元综上所述,XX商业城三层3001~3009号商铺于2002年6月20日的公开市场价值为港币叁佰玖拾捌万元整。
附件(略)
(1)估价对象描述中缺少房地产权利(权益)状况的交代描述。 (2) 土地实物描述不全面。 (3)建筑物实物描述不全面。 (4)可比实例A为酒店三层,C为综合楼三层,与估价对象的可比性应加以说明。 (5)可比实例成交价格未说明币种。 (6)市场比较法区域因素修正方向A、B、C均错(比反了)。 (7)个别因素有差异,但可比实例A、C未作修正。 (8)可比实例B、C的比准价格计算数错误。 (9)租约情况未交代清楚(应考虑租赁协议),租约期内、期外收益没有区别计算,导致租金 水平计算不准确。 (10)收益法中确定租金时,选用的均为比较物业第二层租金,不妥。 (11)确定客观租金,应通过比较调查物业与估价对象各因素的差异后确定。 (12)未考虑正常出租率(空置率)因素。 (13)收益法未分析未来收益变化趋势。 (14)计算年总费用时未说明购建价格的来源及数额。 (15)房产税应按租金收入的12%计算。 (16)营业税等费率取16. 576%,太高。 (17)收益法可获收益年限取34年未作说明。 (18)收益法资本化率确定为9%未说明求取方法和理由。 (19)采用收益法估价的结果计算错误。 (20)缺少确定估价结果的理由说明。 (21)未扣管理费。