<p>估价对象概况:本估价对象是一幢出租的写字楼;土地总面积12000m2,总建筑面积52000m2;建筑层数为地上22层、地下

分类: 房地产案例与分析 发布时间: 2023-11-03 06:19 浏览量: 2

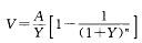
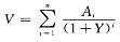
估价对象概况:本估价对象是一幢出租的写字楼;土地总面积12000m2,总建筑面积52000m2;建筑层数为地上22层、地下2层,建筑结构为钢筋混凝土结构;土地使用期限为50年,从2002年5月15日起计。 估价要求:需要评估该写字楼2007年5月15日的购买价格。 估价过程: (1)选择估价方法。该宗房地产是出租的写字楼,为收益性房地产,适用收益法估价,故选用收益法。具体是选用收益法中的报酬资本化法,公式为: (2)搜集有关资料。通过调查了解,并与类似写字楼的正常租金、出租率、经常费进行比较分析,得出了估价对象的有关情况和正常客观的数据如下: ①租金按照净使用面积计。可供出租的净使用面积总计为31200m2,占总建筑面积的60%,其余部分为大厅、公共过道、楼梯、电梯、公共卫生间、大楼管理人员用房、设备用房等占用的面积。 ②月租金平均为35元/m2(净使用面积)。 ③出租率年平均为90%。 ④经常费平均每月10万元,包括人员工资、水、电、空调、维修、清洁、保安等费用。 ⑤房产税以房产租金收入为计税依据,税率为12%。 ⑥其他税费(包括城镇土地使用税、营业税等)为租金收入的6%。 (3)测算年有效毛收入: 年有效毛收入=31200m2X35元/m2X12X60%=786.24万元 (4)测算年运营费用: ①经常费: 年经常费=(10X12)万元=120.00万元 ②房产税: 年房产税=786.24万元X12%=94.35万元 ③其他税费: 年其他税费=786.24万元X6%=47.17万元 ④年运营费用: 年运营费用=①+②+③ =(120.00+94.35+47.17)万元=261.52万元 (5)计算年净收益: 年净收益=年有效毛收入一年运营费用=(786.24-261.52)万元=524.72万元 (6)确定报酬率:在调查市场上相似风险的投资所要求的报酬率的基础上,确定报酬率 为10%。 (7)计算房地产价格:根据过去的收益变动情况,判断未来的净收益基本上每年不变,且因收益期限为有限年,故选用的具体计算公式为: 上述公式中的收益期限n等于40年(建筑物经济寿命为60年,长于土地使用期限。土地使用期限从2002年5月15日起计为50年,2002年5月15日到2007年5月15日为10年,此后的收益期限为40年,因此 估价结果:根据计算结果,并参考房地产估价师的估价经验,确定本估价对象于2007年5月15日的购买总价为5126.57万元,约合每平方米建筑面积985.88元。

改错如下: (1)年有效收人=31 200 m2 X35 元/m2 X12X90% = 1 179. 36 万元 (2)年房产税=1 179.36万元X12% = 141.52万元 (3)年其他税费=1 179. 36万元X6% = 70. 76万元 (4)年运营费用= (120. 00 + 141. 52 + 70. 76)万元= 332. 28 万元 (5)年净收益=(1 179. 36-332. 28)万元= 847. 08 万元 (6)收益期n等于45年(建筑物经济寿命为60年,长于土地使用期限。土地使用期限从 2002年5月15日起计为50年,2002年5月15日到2007年5月15日为5年,此后的收益期 限为45年),因此: 估价结果:根据计算结果,并参考房地产估价师的估价经验,确定本估价对象于2007年5 月15日的购买总价为8 355万元,约合每平方米建筑面积1 606. 73元。