<p>某宗房地产现行的价格为2000元/m2,年净收益为200元/m2,报酬率为10%。现获知该地区将兴建一座大型的现代化火车站

分类: 房地产案例与分析 发布时间: 2023-11-03 06:19 浏览量: 0

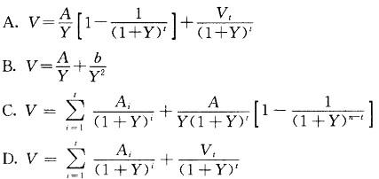
某宗房地产现行的价格为2000元/m2,年净收益为200元/m2,报酬率为10%。现获知该地区将兴建一座大型的现代化火车站,该火车站将在6年后建成投入使用,到那时该地区将达到该城市现有火车站地区的繁华程度。在该城市现有火车站地区,同类房地产的价格为5000元/m2。据此预计新火车站建成投入使用后,新火车站地区该类房地产的价格将达到5000元/m2。 对该宗房地产价格的计算公式的表述正确的是()。

A.A

B.B

C.C

D.D

正确答案是C