房地产估价报告
项目名称:××市××街××号商业用房及车库房地产司法鉴定估价
估价委托人:××法院
估价机构:××房地产估价有限公司
估价人员:××× ×××
估价作业日期:2011年6月23日至2011年7月5日
估价报告编号:××[2011]第××号
目录(略)
致估价委托人函
××法院:
受贵院委托,我公司本着独立、客观、公正的原则,对产权属于××有限公司,位于××市××街××号,建筑面积为411.45m2的商业用房及建筑面积为38m2的车库的市场价值进行了评估。
估价对象土地使用权性质为出让,用途为商住综合用地,土地使用权分摊面积为61.23m2,土地使用权剩余年限为27年。估价时点为2011年6月23日,估价目的是为委托人执行案件需要而评估房地产市场价值。
本公司根据估价目的,遵循估价原则,根据《房地产估价规范》,采用收益法和市场法进行了评估,在认真分析现有资料、市场状况的基础上,结合估价经验与影响房地产市场的价格因素,经过测算,确定估价对象于估价时点2011年6月23日的市场价值评估结果如下:
评估单价:7983元/m2
评估总价:408.29万元
人民币大写:肆佰零捌万贰仟玖佰元整
××房地产估价有限公司(盖章)
法定代表人:(签名、盖章)
二0一一年七月五日
注册房地产估价师声明
我们郑重声明:
1.我们在本估价报告中陈述的事实是真实和准确的。
2.本估价报告中的分析、意见和结论是我们自己公正的专业分析、意见和结论,但受到本估价报告中已说明的假设和限定条件的限制。
3.我们与本估价报告中的估价对象没有利害关系,也与有关当事人没有个人利害关系或对其存在偏见。
4.估价人员依据国家标准《房地产估价规范》(GB/T50291-1999)和当事人要求进行分析,形成意见和结论,撰写本估价报告。
5.注册房地产估价师×××,×××已于2011年6月23日对本估价报告中的估价对象进行了实地查勘,并对查勘的客观性、真实性、公正性承担责任,但我们对估价对象的实地查勘仅限于其外观和使用情况,对被遮盖、未暴露及难以接触到的部分,依据委托人提供的资料进行评估。除非另有委托,我们不承担对估价对象建筑结构质量进行调查的责任。
6.没有人对本估价报告提供重要的专业帮助。
姓名 执业资格 注册号 签名
×××注册房地产估价师×××(略)
×××注册房地产估价师×××(略)
估价假设和限制条件 1.本次评估涉及的权属资料均由委托人提供,委托人对所提供资料的真实性和合法性负责。
2.估价对象在估价时点达到最高最佳利用状态,其运作方式合法。
3.估价对象房地产本身不存在质量问题。
4.房地产市场在本估价报告应用的有效期内不发生较大变化。
5.估价对象房地产在本估价报告应用的有效期内不遭受重大损坏。
6.至估价时点,第二层商业用房带有尚未到期的租约,鉴于本次评估的特定估价目的,评估时不考虑租赁情况对估价对象评估价值的影响。
7.至估价时点,估价对象已抵押给××银行××支行,权利价值共计240万元。由于本次估价目的是为委托人执行借款合同纠纷案件而评估房地产市场价值,故本次评估未考虑已抵押他项权利对房地产价值的影响。
(其他假设和限制条件略)
房地产估价结果报告
一、估价委托人(略)
二、估价机构(略)
三、估价对象
估价对象为位于××市××街××号××大楼中的商业用房及车库,该大楼建于2000年,为钢筋混凝土结构,共12层,其中一至四层为非住宅,五至十二层为住宅。商业用房位于第二层,房屋所有权人为××有限公司,用途为商业,建筑面积为411.45m2,层高为4m,业主对部分结构进行了加层,加层面积共100m2,合计可利用面积为511.45m2。车库位于第一层,建筑面积为38m2。
估价对象土地使用权人为××有限公司,土地用途为商住综合用地,使用权性质为出让,土地使用权分摊面积为61.23m2,土地使用权剩余年限为27年。所在宗地基础设施完备,宗地内外达到“五通一平”。
估价对象商业用房目前出租给相邻的超市使用,租赁合同尚有2.5年到期。至估价时点,估价对象已抵押给××银行××支行,权利价值共计240万元。
(估价对象其他情况略)
四、估价目的
因××法院审理案件的需要,委托本公司对××有限公司所有的位于××市××街××号第二层商业用房及车库市场价值进行评估,为委托人执行案件了解房地产公开市场价格提供参考。
五、估价时点
2011年6月23日
六、价值定义(略)
七、估价依据(略)
八、估价原则(略)
九、估价方法(略)
十、估价结果(略)
十一、估价人员(略)
十二、估价作业日期(略)
十三、估价报告应用的有效期
因本次估价目的所限,本估价报告自出具之日起一年内有效。房地产估价技术报告
一、估价对象实物状况描述与分析(略)
二、估价对象权益状况描述与分析(略)
三、估价对象区位状况描述与分析(略)
四、市场背景描述与分析(略)
五、最高最佳利用分析(略)
六、估价方法适用性分析
1.估价方法选用的理由
估价对象为已建成的商业用房和车库,故不宜采用假设开发法;估价对象区域内的土地取得成本难以客观确定,故也不宜采用成本法。第一层车库和第二层商业用房均具有租金收益,同时该区域存在车库和商业用房的转让交易实例,故可选用收益法和市场法进行评估。
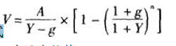
2.估价方法原理和公式
(1)收益法
收益法原理:采用适当的报酬率,将估价对象未来各期(通常为年)的客观净收益折算到估价时点,求其之和得出估价对象的总价值。
收益法公式
式中:V——房地产价值;
A——未来第一年房地产净收益;
Y——报酬率;
g——净收益逐年递增的比率;
n——房地产剩余收益年限。
(2)市场法(略)
七、估价测算过程
(一)收益法
1.年有效毛收入
估价对象商业用房为可出租型房地产,故可以获得市场的正常租金价格。根据对估价对象附近区域商业用房的租金及空置率调查,通过比较调整后得到估价对象的租金,详细情况见表1、表2和表3。
表1 商业用房租赁情况调查表
表2 因素条件说明表

表3 商业用房租金测算表
3个可比实例修正后的租金较为接近,故取三者的简单算术平均值作为估价对象客观租金水平,即估价对象商业用房的租金为72.2元/(m2·月)。
根据市场调查和分析,估价对象商业用房有效出租率确定为95%。
年潜在毛收入=月租金×12=72.2×12=866.4(元/m2)
年有效毛收入=年潜在毛收入×有效出租率=866.4×95%=823.08(元/m2)
2.年总费用
①税金:包括房产税12%、营业税5%、城市建设维护税(营业税的7%)、教育费附加
(营业税的3%),综合取年有效毛收入的17.5%。
②维修费:按建筑物重置成本的2%计算,根据估价对象建筑物的实际情况和造价资料,本估价对象建筑物的重置成本按1800元/m2计算。
年维修费=1800×2%=36(元/m2)
③保险费:保险费率一般为有效毛收入的1.5‰~3‰,本次取2‰。
年保险费=823.08×2‰=1.65(元/m2)
④管理费:包括管理人员经费、办公费、广告费等,根据××市一般水平,管理费约占年有效毛收入的2%~4%,根据估价对象现状特点,结合估价人员经验,按年有效毛收入的3%计算。
年管理费=年有效毛收入×3%=866.4×3%=25.99(元/m2)
⑤年总费用:①~④项的合计。
年总费用=144.04+36+1.65+25.99=207.68(元/m2)
3.年净收益
年净收益=年有效毛收入-年总费用=823.08-207.68=615.4(元/m2)
4.报酬率
报酬率确定为6.5%。(确定过程略)
5.收益年限
估价对象为钢筋混凝土结构,根据有关规定,其经济耐用年限为40年。该房地产竣工于2000年,至估价时点已使用11年,剩余使用年限为29年,因此估价对象的可收益年限确定为29年。
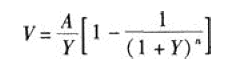
6.求取房地产评估单价
计算公式为:
估价对象单价=615.4÷6.5%×[1-1÷(1+6.5%)29]=7943(元/m2)(取整)
(二)市场法
经测算,估价对象比准单价为8023元/m2。(测算过程略)
(三)综合确定估价对象评估价格
由上述测算过程得到的收益价格为7943元/m2,比准价格为8023元/m2,两个结果比较接近,客观反映了估价对象的市场价值。因此本次评估采用两者的简单算术平均值作为估价对象评估结果。
估价对象评估单价=(7943+8023)÷2=7983(元/m2);
估价对象评估总价=7983×511.45=408.29(万元)。
八、估价结果确定
本估价机构根据估价目的,遵循估价原则,按照估价程序,采用科学合理的估价方法,在认真分析现有资料的基础上,经估价人员综合分析测算,确定估价对象在估价时点2011年6月23日的评估单价为7983元/m2,评估总价为408.29万元,人民币大写:肆佰零捌万贰仟玖佰元整。
附件(略)
上述房地产估价报告存在多处错误,具体为: (1)封面中“估价人员”应为“注册房地产估价师”。 理由:封面上所写的注册房地产估价师,主要是负责本次估价的注册房地产估价师的姓名及其注册号。 (2)致估价委托人函及技术报告中的估价结果中缺车库部分价格。 理由:致估价委托人函的内容包括估价对象,估价对象必须完整,应特别注意估价结果与估价结果报告或者估价技术报告中的结果必须一致。 (3)注册房地产估价师声明中不能依据当事人要求进行评估。 理由:估价报告中的分析、意见和结论是注册房地产估价师独立、客观、公正的专业分析、意见和结论,但受到估价报告中已经说明的估价假设和限制条件的限制。 (4)在估价假设和限制条件中,强制拍卖目的估价应充分考虑租约对价格的影响。 理由:估价的假设和限制条件的写作应注意,必须披露对估价结果有重大影响的事项或者因素,并就其对估价结果的影响进行说明。 (5)未明确说明加层部分面积是否属于产权登记面积,计入总价的理由未说明。 理由:估价结果应分别表述总价和单价,并附大写金额。估价结果应表述清晰、说明内涵,即说明是否与估价假设和限制条件一致,例如是否扣除土地出让金、相关费用及税金等。 (6)估价对象中缺土地使用权出让年限或土地使用权起始日期。 理由:估价对象的写作应包括四方面的内容:①估价对象范围:土地、房屋、构筑物、树木等;同时应说明估价对象范围是否包含动产、债权债务、特许经营权等其他财产或者权益;②估价对象基本状况:名称、坐落、规模、用途、权属等;③土地基本状况:四至、面积、形状、周围环境、景观、基础设施完备程度、土地平整程度、地势、地质、水文状况、规划限制条件、利用现状、权属状况、土地使用期限;④建筑物基本状况:层数,用途,建筑结构,装修,设施设备,平面布置,工程质量,建成年月,维护保养和使用情况,公共配套设施完备程度,对估价对象的描述应做到层次清晰、用语表达简单、准确。 (7)估价对象中缺装饰装修部分的描述或说明。 理由:估价对象的写作应包括四方面的内容:①估价对象范围:土地、房屋、构筑物、树木等;同时应说明估价对象范围是否包含动产、债权债务、特许经营权等其他财产或者权益;②估价对象基本状况:名称、坐落、规模、用途、权属等;③土地基本状况:四至、面积、形状、周围环境、景观、基础设施完备程度、土地平整程度、地势、地质、水文状况、规划限制条件、利用现状、权属状况、土地使用期限;④建筑物基本状况:层数,用途,建筑结构,装修,设施设备,平面布置,工程质量,建成年月,维护保养和使用情况,公共配套设施完备程度,对估价对象的描述应做到层次清晰、用语表达简单、准确。 (8)估价对象中缺是否有共有权的说明。 理由:估价对象的写作应包括四方面的内容:①估价对象范围:土地、房屋、构筑物、树木等;同时应说明估价对象范围是否包含动产、债权债务、特许经营权等其他财产或者权益;②估价对象基本状况:名称、坐落、规模、用途、权属等;③土地基本状况:四至、面积、形状、周围环境、景观、基础设施完备程度、土地平整程度、地势、地质、水文状况、规划限制条件、利用现状、权属状况、土地使用期限;④建筑物基本状况:层数,用途,建筑结构,装修,设施设备,平面布置,工程质量,建成年月,维护保养和使用情况,公共配套设施完备程度,对估价对象的描述应做到层次清晰、用语表达简单、准确。 (9)技术报告中估价方法适用性分析中,选用市场法的理由不充分,应该是该区域中在估价时点近期有较多类似房地产的交易实例。 理由:估价方法适用性分析要逐一分析比较法、收益法、成本法、假设开发法等方法是否适用于估价对象。对于理论上不适用的,简述理由;对于理论上适用但客观条件不具备而不能选用的,充分说明理由。由于居住房地产交易较频繁、交易量较大,很容易获取交易实例,因此市场法是居住房地产估价最常用的方法,主要用于各种类型的商品房、房改房、经济适用住房转让价格、抵押价格、征收补偿价格等的评估,也可用于为商品房预售价格定位而进行的估价。 (10)不应选用净收益按一定比率递增的收益法计算公式(或者说选用净收益按一定比率递增的公式与后面采用净收益每年不变有限年限公式矛盾)。 理由:选用净收益按一定比率递增的公式与后面采用净收益每年不变有限年限公式矛盾。 (11)用市场法求租金时,所在层、总楼层因素应属于区位因素而不是个别因素。 理由:区域因素是指对估价对象周围一定区域范围内的房地产价格有所影响的因素。如所在地区的城市规划调整、环境状况、配套设施状况等。个别因素是指仅对特定房地产的价格有所影响的因素,主要是该房地产的自身因素,如该房地产的区位、用途、规模、土地形状、地形、地势、建筑结构、建筑物新旧程度等。 (12)选取可比实例的租金内涵未说明,如是否有租约,是否有押金或租赁保证金的利息收入等租金外收入,可出租面积比率、出租方式、租金交纳方式、租金项目中哪些是应当扣除的费用,如物业服务费、维修费、管理费、保险费、房地产税金等。 理由:选取了可比实例后,一般应先对这些可比实例的成交价格进行换算处理,对价格内涵和形式进行“标准化”,使它们之间的口径一致、相互可比,为后续对可比实例成交价格进行修正和调整建立一个共同的基础。建立比较基础一般要做以下工作:①统一财产范围;②统一付款方式;③统一税费负担;④统一计价单位。租金构成内涵的差异必然导致租金水平的差异,因此在用市场法求取待估商务房地产租金时,应详细了解交易实例租金的构成内涵,最好选择具有同一租金构成内涵的实例,否则应该进行适当的修正。 (13)可比实例 2 成交日期与估价时点相距较远,未说明交易日期修正系数为 100/100 的理由。 理论:由于可比实例的成交日期与价值时点不同,房地产市场状况可能发生了变化,导致了估价对象或可比实例这类房地产的市场供求关系等发生了变化,进而即使是同一房地产在这两个不同时间的价格也会有所不同。因此,应将可比实例在其成交日期的价格调整到在价值时点的价格。 (14)可比实例 3 的楼层与估价对象不同,未说明不调整的理由。 理由:运用比较法估价需要将可比实例状况与估价对象状况进行比较,如果两者不同,还应对可比实例的成交价格进行房地产状况调整,因为房地产自身状况的好坏还关系到其价值高低。房地产状况调整可分解为区位状况调整、实物状况调整和权益状况调整。楼层属于房地产实物状况调整。 (15)可比实例的租金收租损失情况未说明。 基于租赁收入测算净收益的基本公式为:净收益=潜在毛租金收入-空置和收租损失+其他收入-运营费用=有效毛收入-运营费用。对可比实例的租金收租损失情况需要说明。 (16)在确定租金时未考虑租赁保证金或押金的利息收入等租金外收入。 理由:住宅、写字楼、商铺等出租型房地产的潜在毛收入,为潜在毛租金收入加上各种其他收入。潜在毛租金收入等于全部可出租面积与最可能的租金水平的乘积。各种其他收入是租赁保证金或押金的利息收人,以及洗衣房、自动售货机、投币电话等的收入。 (17)维修费取值依据未说明。 理由:出租的房地产是收益法估价的典型对象,其净收益通常为租赁收入扣除由出租人负担的费用后的余额。出租人负担的费用,一般为维修费、管理费、保险费、房地产税、租赁费用、租赁税费。 (18)维修费不应按本估价对象的重置成本计算而应按该类房地产的客观平均成本计算。 (19)保险费率的确定未说明理由。 理由:估价测算过程就是要详细说明运用各种估价方法的全部测算过程及相关参数的确定。尤其是技术复杂的估价报告,报告的写作者要在准确掌握各种估价方法的基础上,按照估价方法的操作步骤,因果关系明确、条理清楚地表述每种方法的测算过程,对于相关参数的确定既符合有关数学公式的要求,又要符合逻辑推理。 (20)在租约期内应采用租约租金,租约期外采用市场租金计算。 理由:租金的测算要区分租约期内和租约期结束两种情况。在租期内(毁约除外)应根据租赁合同中有关租金、费用等的约定计算净收益,租期结束后,应根据市场客观租金水平、管理费用、税金等利用市场法求取待估商务房地产净收益,并根据市场租金变化趋势判断未来租金水平。 (21)没有对年净收益进行预期或期望调整(或者未说明年净收益是预测值) 理论:采用收益法要对年净收益进行预期或期望调整。简要地说,收益法是根据估价对象的预期收益来求取估价对象价值或价格的方法。具体地说,它是预测估价对象的未来收益,利用合适的报酬率或资本化率、收益乘数将未来收益转换为价值得到估价对象价值或价格的方法。 (22)钢筋混凝土结构非生产用房的耐用年限为 60 年而不是 40 年。 理由:钢筋混凝土结构的耐用年限为:①生产用房为 50 年;受腐蚀的生产用房为 35年;非生产用房为 60 年。 (23)在确定收益年限时未考虑土地使用权剩余年限。 理由:受益年限不得超过剩余土地使用年限。 (24)根据孰短原则,应以土地使用权剩余年限(27 年)为收益年限而不是建筑物剩余使用年限。 理由:根据国家相关法律法规,收益年限的确定遵循孰短原则,建筑物使用年限晚于土地使用期限结束,收益期根据建设用地使用权剩余期限确定。 (25)选用净收益每年不变有限年限公式未说明理由(或者说没有对年净收益未来变化趋势进行分析)。 理由:估价测算过程就是要详细说明运用各种估价方法的全部测算过程及相关参数的确定。尤其是技术复杂的估价报告,报告的写作者要在准确掌握各种估价方法的基础上,按照估价方法的操作步骤,因果关系明确、条理清楚地表述每种方法的测算过程,对于相关参数的确定既符合有关数学公式的要求,又要符合逻辑推理。 (26)在最后确定收益价格时,未说明在出让合同约定土地出让期限届满需要无偿收回国有建设用地使用权时,对收回的建筑物不予补偿的前提。 理由:《城市房地产管理法》规定,土地使用权出让合同约定的使用年限届满,土地使用者未申请续期或者虽申请续期但依照前款规定未获批准的,土地使用权由国家无偿收回。对无偿收回的前提应予以说明。 (27)在最后确定估价对象总价时,估价对象商业部分建筑面积按 511.45m2计算致估价委托人函中的建筑面积 411.45m2不一致。