首页
>
(中学)数学学科知识与教学能力
> 题目详情
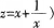
<p>求方程x4+x2+x+1=0的四个复根中落在第一象限的那个根,要求用根式表达。(提示: 作变量替换<img alt=""
分类: (中学)数学学科知识与教学能力
发布时间: 2023-11-03 07:39
浏览量: 0
求方程x4+x2+x+1=0的四个复根中落在第一象限的那个根,要求用根式表达。(提示: 作变量替换
@jin
← 返回分类
返回首页 →
相关题目
<img alt="" src="https://learnfile.20230611.cn/learnAppQuestion/
<img alt="" src="https://learnfile.20230611.cn/learnAppQuestion/
<p>函数y=-χ·cos的部分图象是()<img alt="" src="https://learnfile.20230611
<p>如图,α⊥β,α∩β=l,A∈α,B∈β, A,B到l的距离分别是a和b,AB与a,β所成的角分别是θ和φ,AB在α,β
<p>设{χn}是数列,下列命题中不正确的是()<img alt="" src="https://learnfile.20230
↑