案例:
下面是某位同学用开方法解方程的过程。
问题:
(1)该同学的解题过程哪步错了分析其原因。(8分)
(2)针对该生情况.请你设计一个辅导教学片段(可以为师生问答形式),并说明设计意图。
(8分)
(3)除了开方法外,本题还可以用哪些方法解答(至少列举两种)(4分)
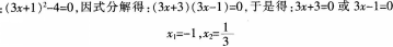
(1)该同学在开平方3x+1=2这一步出现了错误.原因是对平方根的概念没有掌握:其次在最后得出根z=1/3这一步也出现了错误,原因是对一元二次方程根的个数及写法没有掌握。
(2)师:32= (-3)2=
生:9
师:根据平方根的定义。9的平方根为多少
生:±3
师:a(a≥0)的平方根为多少
师:非常好。步骤也很完整。以后注意细节,继续努力。(由易到难,由浅入深,让学生能运用开平方法解方程)
在整个辅导教学片段中,通过师生问答形式,根据学生已有的知识提出问题,启发学生反思自己做题中的错误以及错误的原因所在,帮助学生真正领悟开平方法解方程的正确解题方法,并通过巩固练习的方式,一步一步,由易到难,由具体到抽象促进能力的提高。
(3)①公式法:
②因式分解法 