<p>案例:某教师在进行二次根式教学时,给学生出了如下一道练习题:已知方程x2+3x+1=0的两个根分别为<img alt=""

分类: (中学)数学学科知识与教学能力 发布时间: 2023-11-03 07:39 浏览量: 0

案例:某教师在进行二次根式教学时,给学生出了如下一道练习题:已知方程x2+3x+1=0的两个根分别为,α,β某学生的解答过程如下:问题:(1)指出该生解题过程中的错误,分析其错误原因;(2)给出你的正确解答;(3)指出你解题所运用的数学思想方法。

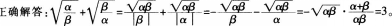
(1)错解分析 (2). (3)解题所运用的是化归思想。