<img alt="" src="https://learnfile.20230611.cn/learnAppQuestion/

分类: (中学)数学学科知识与教学能力 发布时间: 2023-11-03 07:39 浏览量: 1

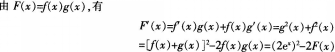
(1)求F(x)所满足的一阶微分方程; (2)求出F(x)的表达式。

题目要求F(x)所满足的微分方程,而微分方程中含有其导函数,自然想到对F(x)求导,并将其余部分转化为用F(x)表示,导出相应的微分方程,然后再求解相应的微分方程即可。 (1) (2)由题(1)得到F(x)所满足的一阶微分方程,求,(x)的表达式只需解一阶微分方程。又一阶线性非齐次