首页
>
(中学)数学学科知识与教学能力
> 题目详情
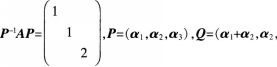
<p>设A为3阶矩阵.P为3阶可逆矩阵,且<img src="https://learnfile.20230611.cn/lea
分类: (中学)数学学科知识与教学能力
发布时间: 2023-11-03 07:39
浏览量: 1
设A为3阶矩阵.P为3阶可逆矩阵,且
A.
B.
C.
D.
正确答案是B
← 返回分类
返回首页 →
相关题目
<img alt="" src="https://learnfile.20230611.cn/learnAppQuestion/
<img alt="" src="https://learnfile.20230611.cn/learnAppQuestion/
<p>函数y=-χ·cos的部分图象是()<img alt="" src="https://learnfile.20230611
<p>如图,α⊥β,α∩β=l,A∈α,B∈β, A,B到l的距离分别是a和b,AB与a,β所成的角分别是θ和φ,AB在α,β
<p>设{χn}是数列,下列命题中不正确的是()<img alt="" src="https://learnfile.20230
↑