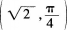
<p>在平面直角坐标系中,以坐标原点0为极点,x轴的正半轴为极轴建立极坐标系。已知点A的极坐标为<img alt="" src=

分类: (中学)数学学科知识与教学能力 发布时间: 2023-11-03 07:39 浏览量: 0

在平面直角坐标系中,以坐标原点0为极点,x轴的正半轴为极轴建立极坐标系。已知点A的极坐标为.直线Z的极坐标方程为且点A在直线Z上。 (1)求。的值及直线Z的直角坐标方程; (2)圆C的参数方程为试判断直线Z与圆C的位置关系。

所以直线l与圆C相交。